2025(6):1-11. DOI: 10.13300/j.cnki.hnwkxb.2025.06.001
摘要:系统梳理国家粮食安全战略的历史演进脉络,有助于揭示粮食安全战略变迁的内在逻辑,为当下制定科学合理的粮食安全保障策略提供理论依据与实践参考。从古代粮政思想与新中国成立以来粮食安全战略的演变出发,凝练传统农业时期中国耕地开发利用和粮食储备调剂中的“大农业”和“大市场”思想;梳理新中国成立以来,我国粮食安全战略在保障目标、保障路径、战略基点和战略措施等方面进行的调整和改变。进而结合新发展阶段粮食安全面临新的机遇与挑战,提出粮食安全的战略目标转向口粮完全自给、食物综合保障能力提升,并从提产能和防风险两个维度提出保障粮食安全的战略基点,即:未来战略调整应在产能提升、风险防范和政策支持上作出调整与完善,通过发展农业新质生产力,提升粮食产能;布局粮食产业链一体化调控,增强供应链韧性,并进一步打出政策“组合拳”,提高政策精准度、完善储备体系的边际调控作用。
2025(6):12-23. DOI: 10.13300/j.cnki.hnwkxb.2025.06.002
摘要:生产力变革转换对粮食生产能力具有重要影响。基于2013-2022年30个省级面板数据,研究构建“新质生产要素-新质产业形态-科技创新-绿色发展”分析框架,运用动态QCA方法探讨农业新质生产力提升粮食生产能力的路径及变化。研究发现:单个农业新质生产力因素不构成提升粮食生产能力的必要条件,但存在明显的动态效应;数智应用产业升级型、生产要素创新配置型和产学研用深度融合型是提升粮食生产能力三种路径。这些路径在时间维度上呈“U”型变化;在地区维度上,粮食主产区存在路径依赖,其粮食生产能力的提升呈现出自我强化趋势;粮食产销平衡区与主销区提升粮食生产能力具有较强偏好性。研究结论表明在粮食生产体系中应关注农业新质生产力各要素之间的衔接与协同;不同粮食产区应着力于农业新质生产力与粮食生产的良性互动,因地制宜地探索提升粮食生产能力的路径。
2025(6):24-34. DOI: 10.13300/j.cnki.hnwkxb.2025.06.003
摘要:中国黑土区是重要的粮食生产基地,粮食产量约占全国的1/4。基于黑土地保护利用政策背景,测算中国黑土区粮食生产效率,并采用核密度估计、莫兰指数、
2025(6):35-46. DOI: 10.13300/j.cnki.hnwkxb.2025.06.004
摘要:加快减少食物浪费已成为国际共识,然而目前学术界对于食品保质期标签导致的食品浪费问题及背后的原因知之甚少。尤其在以中国为代表的转型经济体中这一问题尚无明确答案。实证考察中国消费者食品保质期标签认知与食品浪费行为之间的关系,通过信息干预实验的研究方法和双重差分模型探讨信息干预对消费者食品保质期标签认知及食品浪费意愿影响的净效应和影响路径,并进一步识别消费者对于不同类型保质期标签的偏好。研究发现:(1)中国消费者对于食品保质期标签存在普遍的错误理解,保质期标签在人群中的认知准确率仅为19.39%,且这种错误的理解伴随着大量的食品浪费。(2)基于保质期标签真实含义的信息干预能有效提高消费者对标签的认知并减少其预期的食品浪费意愿。(3)消费者对食品安全状态的感知变化是信息干预影响其食品浪费意愿的主要路径,相较于目前表征食品质量性质的标签体系,中国消费者更加偏好表征食品安全性质的标签类型以指导其食品消费决策。
2025(6):47-58. DOI: 10.13300/j.cnki.hnwkxb.2025.06.005
摘要:在数字技术与农业生产深度融合的新阶段,数字素养对促进小农户与农业机械等现代农业技术有机结合具有深远影响。基于中国家庭追踪调查微观数据,实证检验了数字素养对农户家庭农业机械投入的影响,并从信息弥合、融资缓解和收入增长三个维度对其作用机制进行了探究。研究结果表明:数字素养对农户家庭农业机械投入具有促进效应,且这种影响在经过稳健性检验以及内生性检验后仍然成立。机制分析表明,数字素养通过打破信息约束,缓解农户的正规信贷约束,提升家庭人均收入水平,进而促进农户家庭农业机械投入。异质性分析表明,数字素养对不同区域特征和生产经营规模农户家庭农业机械投入的影响具有显著差异。据此认为,在数字赋能农业持续发展的新阶段,提升农户数字素养、强化农业生产中数字技术使用深度,可以有效促进农户家庭农业机械投入,为加快农业生产现代化转型提供重要支撑。
2025(6):59-71. DOI: 10.13300/j.cnki.hnwkxb.2025.06.006
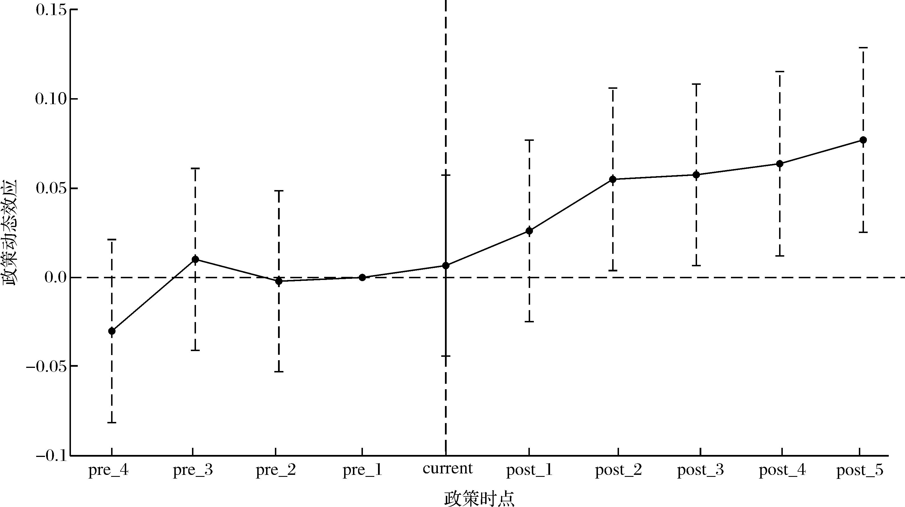
摘要:农业数字化有效赋能农业全产业链建设,是推进农业农村现代化进程的关键所在。基于2012-2021年30个省份的面板数据,利用农业农村大数据试点政策,采用双重差分模型,研究了农业数字化对农业全产业链建设的影响效应及作用机制。结果表明,农业数字化可以显著促进农业全产业链建设,这一影响效应在非粮食主产区、财政支持力度大的地区和产业结构高级化水平高的地区更大。进一步分析发现,农业数字化有效赋能农业全产业链建设的路径主要有促进农业技术创新、提高农村人力资本和提升农民消费水平三条。基于此,从制定差异化政策、持续推动技术创新、重视农村人力资本和人才队伍建设等方面提出了可行的政策建议。
2025(6):72-83. DOI: 10.13300/j.cnki.hnwkxb.2025.06.007
摘要:基于2014-2023年872个县(市、区)的面板数据构建动态面板模型,分别从农村信贷、农业保险及其协同效应3个维度,系统考察农村金融对城乡收入差距的影响。结果发现:农村金融发展水平越高,对缩小城乡收入差距和实现共同富裕越有利。具体而言,农村金融主要通过弥补财政支出不足和促进产品要素流通两种途径,推动城乡收入差距缩小。进一步异质性分析表明:在农村金融发展水平较高、经济发展潜力较大及粮食主产区等地,农村信贷、农业保险及两者的协同效应对缩小城乡收入差距、促进共同富裕的作用更强,且不同时期的协同效应因政策背景不同而存在差异。由此分别从推动农村金融融合发展、优化农村金融生态和提升差异化金融政策精准性等方面提出了缩小城乡收入差距和实现共同富裕的政策建议。
2025(6):84-95. DOI: 10.13300/j.cnki.hnwkxb.2025.06.008
摘要:人才振兴是乡村振兴的关键
2025(6):96-107. DOI: 10.13300/j.cnki.hnwkxb.2025.06.009
摘要:返乡大学生经营农村电商是高等教育经历塑造的身份特质在乡村社会的生动呈现。通过对曹县大集镇15名返乡大学生的深度访谈,基于可持续生计分析框架,从设计、生产与销售三个环节系统梳理返乡大学生区别于传统商户的经营策略,深入揭示这一群体实现农村电商可持续经营的内在机理。研究发现,在设计环节,他们采取差异化竞争策略,注重市场大众需求与标识产品打造;在生产环节,实施精细化分工策略,优化流程并提升效率;在销售环节,运用注意力捕获策略,通过流量运营和内容营销增强市场竞争力。这些经营策略是他们在生计资本作用下做出的创新选择。其中,主观能动性的充分发挥是他们实现可持续经营农村电商的主体逻辑,生计资本的适时调用是他们实现可持续经营农村电商的行动逻辑,而良性化市场秩序的打造则是他们实现可持续经营农村电商的目标逻辑。
2025(6):108-117. DOI: 10.13300/j.cnki.hnwkxb.2025.06.010
摘要:实现乡村生态振兴,既是推进中国式现代化的内在要求,也是实现中华民族伟大复兴的题中之义。涉农高校是农业领域重要的人才培养、科技创新和技术集成高地,具有显著的资源优势与实践经验,服务乡村生态振兴是其使命所系。推进乡村生态振兴需要统筹乡村生态系统、乡村自然资源和乡村人居环境协调发展,涉农高校服务乡村生态振兴,可以在生态布局规划、推动绿色发展、倡导和美生活等方面发力。当前,涉农高校服务乡村生态振兴的现实困境主要表现为:参与规划生态布局的角色仍显式微、科技赋能乡村生态振兴的着力点仍然有限、引领倡导和美乡村的影响力仍有不足。提出新时期涉农高校赋能乡村生态振兴的路径在于:面向地域实际,深度参与乡村生态空间规划与治理;面向产业结构,促进产业与生态有机融合;面向生产方式,推动农业发展全面绿色转型;面向生活方式,助力打造宜居宜业和美乡村。
2025(6):118-126. DOI: 10.13300/j.cnki.hnwkxb.2025.06.011
摘要:农业文化遗产作为传统农耕文明的活态载体,可为乡村全面振兴提供系统性赋能路径。基于价值网络理论,农业文化遗产蕴含生态、文化、经济、社会和教育的功能价值体系,乡村全面振兴涵盖生态、文化、产业、组织与人才的五维协同目标,二者通过“传统智慧—现代技术—政策工具”形成深度嵌合的价值网络机制。然而,当前乡村全面振兴视域下,农业文化遗产保护发展仍面临认知偏差、业态同质化、要素配置失衡及主体断层等现实困境。为此,应筑牢传统生态技艺与现代绿色技术融合赋能的生态基底,激活农耕文化活态传承与文旅融合创新的文化价值,激发遗产资源编排与三产联动增效的产业动能,优化自组织与党建引领协同共治的治理机制,强化传统知识赓续与现代教育科技赋能的人才支撑。最终通过多维路径联动与系统集成,构建面向乡村全面振兴目标的农业文化遗产保护发展实践范式。
2025(6):127-136. DOI: 10.13300/j.cnki.hnwkxb.2025.06.012
摘要:回归村民自治本位是乡村治理现代化的应有之义。乡村治理的基础是作为治理主体的村民积极主动参与村级公共事务并达成集体行动的选择,培育乡村治理自主性。以我国东部沿海A市L村“红梅指数”运作实践为例,在激励机制下,基于“动机—行为—目标”分析框架,展现了L村积分治理的实践过程、运行机制和实施效果。结果表明:经由“面子”机制的中介作用,积分治理实践具备动力生成、行为塑造和目标管理三大激励条件,能够有效激发乡村治理内生动力,调动村民参与村级公共事务的积极性,克服“集体行动的困境”,实现自治、法治与德治“三治融合”目标。不过,作为一套非正式的制度安排,积分制要想持续推动乡村自治,就必须同我国当前乡村治理的正式制度安排结合起来,形成长效治理机制。积分制在L村的成功实践也不必然表明其在其他地区就能成功复制推广,复刻积分治理成功经验还必须因时因地制宜,将其同当地经济社会发展实际紧密结合起来。
2025(6):137-146. DOI: 10.13300/j.cnki.hnwkxb.2025.06.013
摘要:基于对川西A镇“全域无垃圾”专项治理行动的个案研究,运用“制度位置”的分析工具,对不同阶段治理主体在制度结构中的位置及其行动范围、行动工具和行动能力的差异性进行讨论,分析制度位置在合作治理中的作用机制。研究发现:环境治理过程中治理主体的制度位置经历了由“错位”向“适配”的转变;制度位置适配化是行动者根据目标需要动态调整制度位置的过程,它推动了治理模式从“单向行政化治理”转向“双向嵌入式治理”;制度约束与激励、资源配置与整合、关系调适与重塑是制度位置推动合作治理的三重作用机制。在基层治理过程中,找准行动者的制度位置有助于合作治理的实现。
2025(6):147-158. DOI: 10.13300/j.cnki.hnwkxb.2025.06.014
摘要:以浙江省L村的返乡创业现象为例,构建“正式规则-非正式实践”的互动分析框架,探究返乡青年创业过程中乡村社会网络“制度化重整”的机制与核心逻辑。地方政府、返乡创业青年与创业基地运营公司三方主体通过正式规则与非正式实践的交互作用,对现有乡村社会关系网络能动的修饰与再造,实现后者向制度化创业支持社会网络的渐进转型。通过政策赋能创业青年和借由制度框架规范主体间互动,实现非正式关系的制度化转型;而运营公司的弱管理模式和政策裂隙的制造,有效桥接政府与创业青年,实现正式制度的软性落地,为创业青年的非正式实践创造了空间。制度化的乡村社会网络,是在政策框架下融合乡土社会基因与现代市场规则、以功能导向为纽带的多层协作关系模式,有利于创业青年在乡村创业场域中采取策略化行动,以改善创业行动后果。
2025(6):159-171. DOI: 10.13300/j.cnki.hnwkxb.2025.06.015
摘要:妇女治村已成为当下中国农村的一个显著现象,乡村社会治理环境变迁为农村妇女参与村庄治理创造了有利的制度与社会空间。以女支书这一治理主体为例,从“嵌入方式-参与动机”两个维度将妇女治村划分为四种类型,在Y县的四个典型案例中得以验证。在此基础上,进一步从治理结构与治理资源两个影响村庄治理场域的因素出发,分析四类妇女治村的策略取向,分别为创新发展、产业发展、现状维持以及真诚服务。推进农村妇女实质性参与村庄治理是实现男女平等参与和优化乡村治理的重要路径,国家应对不同年龄段农村妇女参与村庄治理采取分类激励、加强村委会班子建设、加强女性村干部的能力建设等举措,从而激发农村妇女在村庄治理中的积极作用。
2025(6):172-181. DOI: 10.13300/j.cnki.hnwkxb.2025.06.016
摘要:在探讨农村养老模式的社会化转型之际,学术界对于互助式养老已形成了广泛的共识,探索农村互助养老不仅要关注制度性结构嵌入,还需要聚焦本土实践的行动逻辑。基于结构化理论和实践逻辑,构建“制度嵌入-实践转换”的理论框架分析农村互助养老行动背后所蕴含的生成逻辑。研究发现,“制度构建”和“专业补位”两股外部资源的嵌入为乡村互助养老的行动提供了基本的动力。然而,结构嵌入需要建立在本土实践的反思性调适基础之上,通过联合协商、差序动员以及组织赋能等策略保持本土实践的适应性,最终实现结构目标与养老需求的融合共生。进一步研究发现,农村互助养老的治理路径建构,表面上是国家资源的结构性嵌入与地方性知识的反思性融合之间的互动过程,其深层实质则是对制度性基础、关系性基础以及认知性基础等农村社会基础的系统性重构。只有重构农村社会深厚的社会基础,互助养老才能真正实现从外部推动到内生驱动的可持续性发展。
2025(6):182-193. DOI: 10.13300/j.cnki.hnwkxb.2025.06.017
摘要:乡村振兴标准治理的核心是公共标准,即《标准化法》及实施条例下的国家标准、行业标准和地方标准。以乡村振兴为典例,公共标准存在制定边界不清、制定质量不高、监督法治化缺位、监督机制不健全等明显弊端。问题解决的核心在于构建系统性监督机制。公共标准的文本属性是行政机关制定的规范性文件。与权利和义务具有“直接+明显”关联的强制性标准文本属于行政规范性文件;被各级法源、强制性标准具体引用且所在条款为强制性规则的推荐性标准视同行政规范性文件。属于行政机关制定规范性文件的公共标准,应以法院附带监督为主,以行政机关自我监督和市场主体社会监督为常态辅助,以人大机关与人民政府的工作监督为不定期辅助;属于或者视为行政规范性文件的公共标准,要以人大机关规范性文件备案审查监督为主,以人民政府规范性文件备案审查监督为常态辅助,以法院附带监督、市场主体社会监督、行政机关自我监督等为不定期辅助。据此建议,乡村振兴公共标准备案审查机制的完善应从审查主体、审查标准、审查结果展开。
2025(6):194-202. DOI: 10.13300/j.cnki.hnwkxb.2025.06.018
摘要:基于“矛盾表征—阶段诱因—调适路径”三维分析框架,综合历史制度主义与政策过程理论,系统解构我国历次土地承包过程中人地矛盾演进的制度逻辑。研究发现,人地矛盾呈现土地空间结构错配、土地权能实践冲突与土地代际分配失衡三维嬗变特征。第一轮土地承包主要表现为生存保障导向下空间结构矛盾显化;第二轮土地承包主要表现为土地产权稳定诉求下权能矛盾凸显;第二轮土地延包主要表现为土地要素市场化改革下代际矛盾升级。据此,研究进一步阐释历次土地承包过程中人地矛盾的阶段性诱因。最后,针对历次土地承包过程中人地矛盾表征及诱因,提出土地“二轮延包”过程中化解人地矛盾的调适路径:其一,全域土地综合整治优化土地“二轮延包”中土地空间结构配置;其二,“三权分置”的权能重构缓解土地“二轮延包”中权能固化矛盾;其三,“基准年限+动态微调”的土地承包期体系缓解土地“二轮延包”中代际矛盾;其四,“智治”体系赋能土地“二轮延包”中权属溯源与纠纷调解。
您是本站第 4754718 访问者 
通信地址:武汉市洪山区狮子山街1号
邮编:430070 传真:010-84321139
电话:027-87287002 E-mail:hnwkxb@mail.hzau.edu.cn
版权所有:华中农业大学学报(社会科学版) ® 2026 版权所有