• Volume 44,Issue 3,2025 Table of Contents
    Select All
    Display Type: |
    • Effects of different farming models on growth and yield of rice

      2025, 44(3):1-7. DOI: 10.13300/j.cnki.hnlkxb.2025.03.001

      Abstract (133) HTML (33) PDF 0.00 Byte (197) Comment (0) Favorites

      Abstract:Huamoxiang 5 rice, Wuqin 10 duck, and crayfish were used to set up four farming modes including rice-duck-crayfish large field block model(BRXD), rice-duck-crayfish unit release model(CRXD), rice-duck-crayfish “nomadic duck”model(NRXD) and rice-crayfish coculture (RX), with the traditional rice monoculture (CK) as the control.The effects of different farming models on the growth and yield formation of rice were studied to achieve the goal of high yield, high quality and high efficiency under the ecological farming mode in paddy field.The results showed that the population growth rate at different stages of rice growth and the biomass of tiller at the stage of full heading under farming models of BRXD, CRXD, and NRXD significantly increased compared with CK, with biomass of tiller increased by 20.29%, 12.83%, and 11.34%, respectively.The biomass of stem and tiller under farming model of BRXD increased significantly at different stages.In terms of yield and its components, the number of panicles under farming models of BRXD, CRXD, and NRXD decreased, but the seed setting rate increased by an average of 7.97%.The grain number per panicle under farming models of BRXD and CRXD increased.The yield of rice under farming models of BRXD and NRXD had no decrease.It is indicated that the ecological farming of rice-duck-crayfish, especially farming models of BRXD and CRXD, can still achieve high yield while reducing inputs of fertilizer and pesticides compared with the traditional monoculture of rice.The ecological farming of rice-duck-crayfish can promote the growth and yield formation of rice.

      • 0+1
      • 1+1
      • 2+1
      • 3+1
      • 4+1
    • Effects of sowing date on quality and yield of black rice

      2025, 44(3):8-16. DOI: 10.13300/j.cnki.hnlkxb.2025.03.002

      Abstract (125) HTML (42) PDF 0.00 Byte (164) Comment (0) Favorites

      Abstract:Among colored rice, black rice has attracted much attention due to its sensory characteristics, high nutritional value, and health benefits. However, the yield and quality of black rice are more susceptible to environmental and cultivation measures, resulting in unstable yield and low quality. Four black rice varieties including Heishuai, Zhongkeheinuo 1, Xianghei 9355, and Huamoxiang 5 were used to conduct a two-year field experiment to investigate the effects of conventional sowing date and appropriate late sowing (May 16th and May 31st) on the yield, the filling and plumpness of grain, the nutritional quality, the quality of cooking and taste, and the processing quality of black rice. The results showed that appropriate late sowing increased the filling and plumpness of grain in black rice under normal climatic conditions (2021), thereby increasing the yield of black rice. The peak viscosity and disintegration value of rice in four black rice varieties under the condition of delayed sowing increased by an average of 17.27% and 27.59%, while the reduction value decreased. The average hardness of rice increased by 4.09%, but the recovery and viscosity decreased. The delayed sowing date resulted in an average decrease of 14.31% and 10.02% in the content of anthocyanin and protein in black rice, and a decline in nutritional quality. The delayed sowing date increased the yield and the filling and plumpness of grain, improved the taste quality of rice, but reduced the nutritional quality of black rice. Therefore, reasonable selection of suitable sowing dates is beneficial for achieving a synergistic improvement in the yield and quality of black rice.

      • 0+1
    • Comparison of nutritional components in Huamoxiang 5 rice under different models of farming

      2025, 44(3):17-25. DOI: 10.13300/j.cnki.hnlkxb.2025.03.003

      Abstract (136) HTML (45) PDF 0.00 Byte (158) Comment (0) Favorites

      Abstract:The content of main nutritional components including mineral elements, vitamins, anthocyanins, and other bioactive substances in rice cultivated under the models of integrated farming including the monoculture (CK,control), rice-crayfish coculture(RX),rice-duck-crayfish unit release model(CRXD), rice-duck-crayfish nomadic duck model(NRXD), and rice-duck-crayfish large field block model(BRXD) was measured to study the differences in nutritional quality of Huamoxiang 5 rice under different models of farming. The effects of models of farming on the nutritional components in Huamoxiang 5 rice were investigated with comparative analysis. The results showed that the nutritional components in the whole grain black rice of Huamoxiang 5 rice were relatively rich, and its nutritional value was significantly better than that of its milled counterpart. The results of comprehensive comparison showed that each farming model had distinct characteristics. The CK performed better in maintaining the stability of main nutritional components, while models of integrated farming improved the palatability of rice and enhanced the content of some nutritional components. Models of integrated farming significantly reduced the content of protein by 9.17%-13.82% (P<0.05), while increasing the content of oil by 2.71%-5.30% (P<0.05) compared with monoculture, contributing to better quality of taste. In addition, the whole grain black rice of Huamoxiang 5 rice under models of integrated farming significantly increased the content of B vitamins (B1:15.23%-60.58%,B2:1.13%-16.66%,B3:27.28%-49.74%,B6:1.75%-18.21%,B9:20.17%-48.17%),oryzanol (3.41%-7.27%),γ-aminobutyric acid (9.91%-39.87%), and most soluble phenolic acids (e.g.,vanillic acid:29.77%-48.88%,protocatechuic acid:17.58%-41.54%,ferulic acid:6.07%-16.04%, p-coumaric acid: 14.58%-33.65%,syringic acid:21.52%-27.67%),conducive to improving the nutritional value of rice.However,models of integrated farming reduced the content of some nutritional components including vitamin E,anthocyanins, and carotenoids, with relatively small decrease in the absolute value.

      • 0+1
      • 1+1
    • A comparative study of rice-duck-crayfish integrated farming system and other rice paddy farming systems

      2025, 44(3):26-37. DOI: 10.13300/j.cnki.hnlkxb.2025.03.004

      Abstract (89) HTML (34) PDF 0.00 Byte (173) Comment (0) Favorites

      Abstract:To explore the differences in efficiency and influencing factors among various rice field farming models,this study constructs an “efficiency assessment-influencing factors” framework based on field survey data collected from Hubei Province in 2023. By integrating micro-level household survey data with climate data,we employ both SFA and SBM-DEA models to measure the technical efficiency and ecological efficiency of different rice field farming systems. We systematically examine the efficiency disparities between these models and evaluate their respective advantages and limitations. The results indicate that: (1) Among the four rice-farming modes including single rice,rice-crayfish,rice-duck,and rice-duck-crayfish,the rice-duck-crayfish mode demonstrates the highest technical and ecological efficiency,with values of 0.760 and 0.545,respectively. In contrast,the technical efficiency of the rice-duck model and the ecological efficiency of the rice-crayfish model are the lowest,at 0.581 and 0.323,respectively. (2) Factors such as the gender of the household head,agricultural insurance,economic development level,extreme temperatures,and average rainfall have inhibited the improvement of technical efficiency,while the age of the household head,agricultural subsidies,total household income,and drone usage positively contribute to technical efficiency. (3) The age of the household head and indicators of high-temperature heatwaves significantly improve ecological efficiency,while factors such as the gender of the household head,total household population,total household income,drone usage,level of economic development,extreme low temperatures,and drought negatively affect the improvement of ecological efficiency. (4) Compared to the single rice mode,the rice-crayfish mode exhibits significant decrease in technical efficiency and ecological efficiency by 0.053 and 0.178,respectively. However,technical efficiency of the rice-duck-crayfish mode is 0.163 higher than that of the single rice mode. The study indicates that the rice-duck-crayfish model demonstrates the highest performance in terms of both technical and ecological efficiency,highlighting its substantial potential for promotion.

    • Effects of farming models of rice-duck-crayfish on carbon emissions and carbon sequestration in rice paddy ecosystems

      2025, 44(3):38-44. DOI: 10.13300/j.cnki.hnlkxb.2025.03.005

      Abstract (102) HTML (23) PDF 0.00 Byte (145) Comment (0) Favorites

      Abstract:The characteristics of carbon emission and carbon sequestration under different farming models of rice-duck-crayfish were compared with those under the traditional farming model of single rice cropping and rice-crayfish farming.The rice variety Huamoxiang 5,the crayfish(Procambarus clarkii),and duck variety Wuqin No.10 were used to conduct a field experiment at the Shuangshui Shuanglü Institute Base of Huazhong Agricultural University in Jingzhou,Hubei Province.The effects of different farming models on the methane (CH?) emission,nitrous oxide (N?O) emission,global warming potential (GWP),greenhouse gas emission intensity (GHGI),and carbon sequestration potential in paddy fields were studied.The results showed that the CH? emissions,GWP,and GHGI under the farming model of rice-duck-crayfish reduced by 28.1% to 32.1%,27.0% to 30.7%,23.0% to 26.7%,while the carbon sequestration increased by 2 089 to 2 569 kg/hm2 compared to that under the traditional model of single rice cropping.The CH? emissions,GWP,and GHGI under the farming model of rice-duck-crayfish reduced by 18.6% to 23.1%,17.9% to 22.2%,and 18.7% to 22.0%,while the carbon sequestration increased by 616 to 1 096 kg/hm2 compared to that under the rice-crayfish farming model.It is indicated that the farming model of rice-duck-crayfish can reduce carbon emissions and increase the level of carbon neutrality in rice paddy fields,with the farming model of rice-duck-crayfish in large field blocks having the best effects on the reduction of emissions and the sequestration of carbon.

      • 0+1
      • 1+1
    • Effects of ducks on pests, weeds, and diversity of arthropod communities in paddy fields with rice-crayfish cultivation

      2025, 44(3):45-52. DOI: 10.13300/j.cnki.hnlkxb.2025.03.006

      Abstract (77) HTML (48) PDF 0.00 Byte (156) Comment (0) Favorites

      Abstract:In order to assess the control effect of the rice-duck-crayfish cultivation models on rice field diseases, pests and weeds, a field experiment was carried out at the Jianli Base of Shuangshui and Shuanglu Research Institute of Huazhong Agricultural University in 2022. The occurrence of diseases, insects, and weeds, as well as the diversity of arthropods in the field were investigated under three different cultivation systems: the rice monoculture (CK), rice-crayfish cultivation (RC) and two rice-duck-crayfish cultivation models (HRDC, rice-dark-crayfish model with a high frequency of dark locomotion; LRDC, with a low frequency). The results showed that ducks had a significant inhibitory effect on non-gramineous weeds (Cyperus difformis and Alternanthera philoxeroides) (P<0.05), but no significant suppression on grasses such as Echinochloa crusgall and Leptochloa chinensis. Furthermore, the inhibitory effect of HRDC on non-gramineous weeds was greater than that of LRDC. In addition, compared with CK and RC treatments, the two treatments involving ducks significantly inhibited damage caused by the rice leaf roller borer and the rice planthopper during the tillering and booting stages (P<0.05). However, they did not show a significant control over the rice stem borer. At the booting stage, the diversity and evenness of the plots treated with ducks were significantly higher than those of the CK plots treated with pesticides (P<0.05). Among the treatments, the HRDC exhibited the highest levels of diversity and evenness, followed by the LRDC treatment. In summary, integrating duck farming into rice-crayfish cultivation fields presents a feasible and effective environmentally friendly control system for rice fields.

      • 0+1
      • 1+1
      • 2+1
      • 3+1
      • 4+1
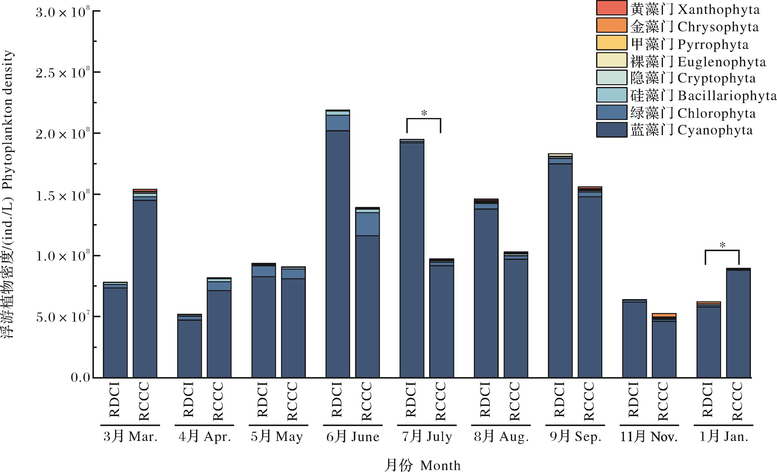
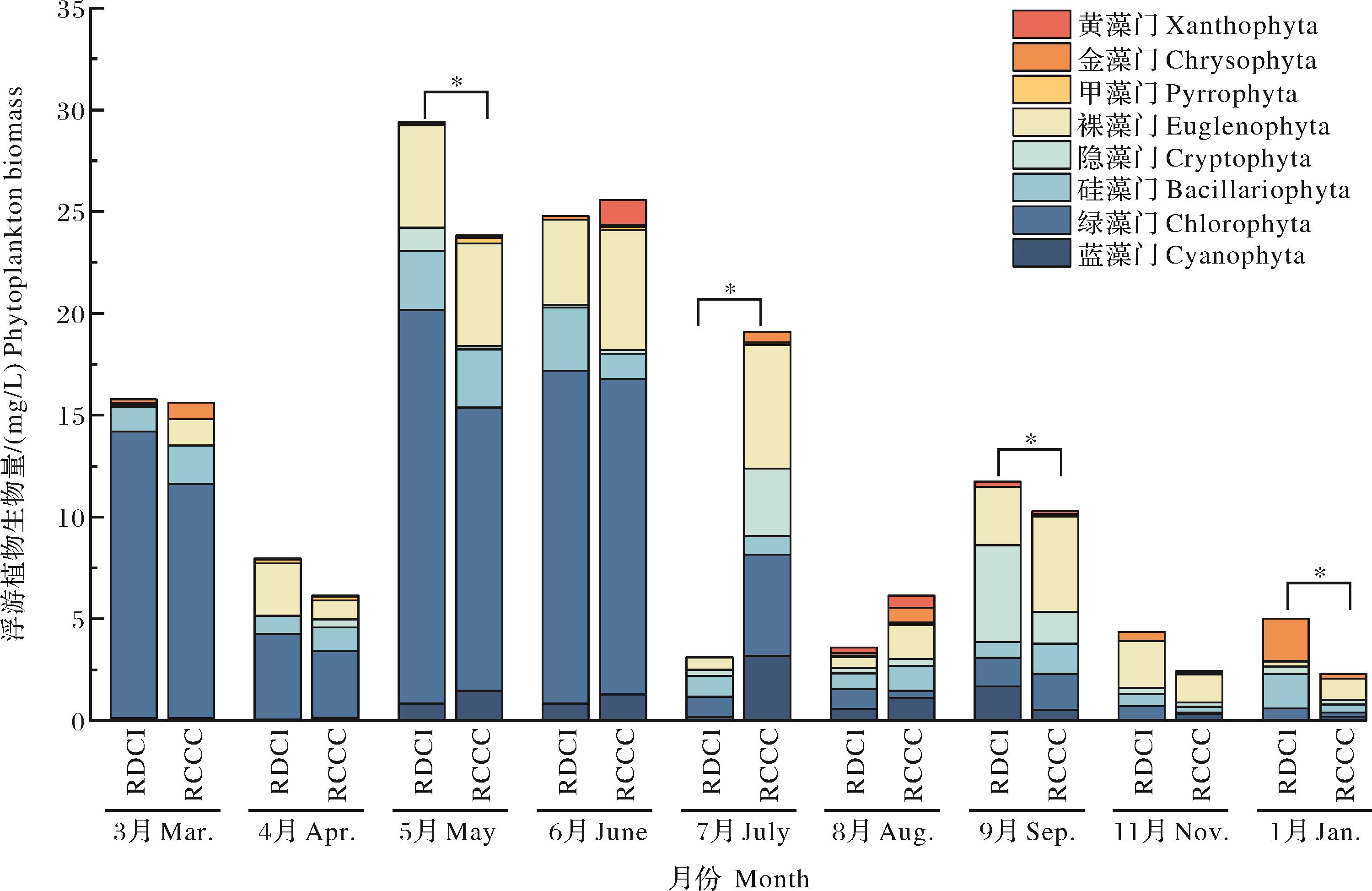
    • Community structure of phytoplankton and its relationship with environmental factors in rice-duck-crayfish integrated model

      2025, 44(3):53-64. DOI: 10.13300/j.cnki.hnlkxb.2025.03.007

      Abstract (70) HTML (33) PDF 0.00 Byte (153) Comment (0) Favorites

      Abstract:To accurately manage precise feeding and water quality regulation in the rice-duck-crayfish integrated model (RDCI), continuous monitoring of phytoplankton and physicochemical parameters in the water was conducted from March 2023 to January 2024 in both the RDCI and the rice-crayfish continuous culture model (RCCC). This study aimed to investigate the community structure characteristics of phytoplankton and their relationships with environmental factors in the RDCI system.The results showed that a total of 214 species from 8 phyla of phytoplankton were found in the RDCI, which is higher than the 196 species from 8 phyla in the RCCC. Both systems were predominantly composed of Chlorophyta, Bacillariophyta, and Euglenophyta. The RDCI had 18 dominant species (Y≥0.02), more than the 14 in the RCCC. The density of phytoplankton in RDCI ranged from 0.52×10? to 2.19×10? ind/L, with the maximum observed in June and the minimum in April. The biomass ranged from 3.10 to 29.41 mg/L, with the maximum in May and the minimum in July. The annual mean values for the phytoplankton Margalef richness index, Pielou evenness index, and Shannon-Wiener diversity index were 2.45, 0.67, and 1.15, respectively. Compared with RCCC, the density of phytoplankton in RDCI was lower during the crayfish farming and overwintering stages, while the biomass and diversity indices of phytoplankton were higher during the crayfish farming, overwintering, and rice maturity stages.The redundancy analysis results showed that the dominant species of phytoplankton in RDCI were influenced by water temperature, dissolved oxygen, total nitrogen, and total phosphorus. In summary, compared with RCCC, RDCI exhibits higher phytoplankton diversity and better evenness, suggesting a more complex and stable community structure. The species composition of phytoplankton and related indices indicate that RDCI mitigates the degree of eutrophication in water during both the shrimp farming and the overwintering stages, while increasing nutrients levels during the rice planting stage. This approch is benificial for reducing non-point source pollution in agriculture and promoting green agricultural development.

      • 0+1
      • 1+1
      • 2+1
      • 3+1
      • 4+1
      • 5+1
      • 6+1
    • Characteristics of annual changes in water physicochemical factors and fuzzy comprehensive evaluation of water quality in rice-duck-crayfish integrated model

      2025, 44(3):65-73. DOI: 10.13300/j.cnki.hnlkxb.2025.03.008

      Abstract (73) HTML (36) PDF 0.00 Byte (158) Comment (0) Favorites

      Abstract:The effects of the rice-duck-crayfish integrated model (RDCI) on the water quality,continuous sampling and testing of water in RDCI,rice-crayfish continuous culture model (RCCC) were studied at the Shuangshui Shuanglü Research Base in Xingou Town,Jianli City from March 2023 to January 2024.The differences in the changes of water physicochemical factors during different stages including crayfish farming stage,rice regreening stage,rice-duck co-cultivation stage,rice mature stage,and overwintering stage for the two models were analyzed.The results showed that the range of annual variation in water temperature,dissolved oxygen,and pH in RDCI was 3.23-33.50 ℃,2.42-11.75 mg/L,and 7.18-8.32,basically consistent with that in RCCC.The range of annual variation in the content of total nitrogen,total phosphorus,ammonia nitrogen,nitrate nitrogen,and CODMn in RDCI was 0.54-2.12 mg/L,0.13-0.50 mg/L,0.16-0.56 mg/L,0.06-0.40 mg/L,and 5.58-18.35 mg/L,having an overall trend of first increasing and then decreasing and a peak value at the stage of rice-duck co-culture.The content of TN,TP,NH4+-N,and NO3--N in the water of RDCI at the late stage of crayfish farming decreased by 11.1%,6.1%,14.4%,and 17.4%,compared with that of RCCC.The indexes mentioned above in RDCI at the stage of rice-duck coexistence increased from 81% to 135%,46% to 113%,55% to 715%,and 137% to 166%,respectively.The water quality of RDCI met the class Ⅲ standard during the initial crayfish farming,rice regreening,rice maturity,and overwintering stages,met the class Ⅳ standard during the later crayfish farming stage,and met the class Ⅴ standards during the rice-duck co-culture stage according to the comprehensive fuzzy evaluation of water quality based on the “Environmental Quality Standards for Surface Water” (GB 3838—2002).It is indicated that RDCI reduces the surplus of water nutrients at the late stage of crayfish farming and replenishes the nutrient deficiency in the water at the stage of rice-duck co-cultivation to provide a better water environment compared with RCCC.

      • 0+1
      • 1+1
      • 2+1
    • Effects of crayfish on microbial diversity and carbon sequestration in paddy soil

      2025, 44(3):74-83. DOI: 10.13300/j.cnki.hnlkxb.2025.03.009

      Abstract (95) HTML (41) PDF 0.00 Byte (159) Comment (0) Favorites

      Abstract:A field-based comparative experiment between rice monoculture (RM) and rice-crayfishfarming models(RC) was conducted to study the effects of introducing crayfish (Procambarus clarkii) into paddy fields on the microbial diversity and the carbon sequestration in soil.The impacts of different rice cultivation models on the diversity and stability of microbial community,and the fractions of organic carbon in the topsoil (0-20 cm) and subsoil (20-40 cm) were investigated.The results showed that the content of organic carbon in topsoil under the RC was 7.3% higher than that under RM,with a significant increase of 35.8% in the content of organic carbon in subsoil.The diversity of fungal community in the subsoil significantly decreased,with a decrease in the index of Chao1,Richness,and ACE indexes of 6.9%,7.2%,and 8.7%,respectively,while there was no significant effect on the diversity of microbial community in the topsoil.The RC significantly enhanced the network size,connectivity,and average degree of co-occurrence networks for bacteria and fungi in both topsoil and subsoil,thereby improving the stability of network.It is indicated that the RC significantly increases the accumulation of organic carbon and the stability of microbial community in subsoil,promoting the biological fertility in paddy soil.

      • 0+1
      • 1+1
      • 2+1
      • 3+1
      • 4+1
    • Characteristics of changes in soil fertility in paddy field under model of rice-duck-crayfish

      2025, 44(3):84-90. DOI: 10.13300/j.cnki.hnlkxb.2025.03.010

      Abstract (68) HTML (32) PDF 0.00 Byte (158) Comment (0) Favorites

      Abstract:The effects of the rice-duck-crayfish (CDR) model on soil fertility in paddy fields were studied by using field experiments and sampling tests from 2022 to 2023. The physical, chemical, and biological properties of soil after harvesting rice were compared between CDR and the rice monoculture (RM) model. The fertility of soil under two models was comprehensively evaluated by combining fuzzy comprehensive evaluation method and simple linear scoring method. The results showed that the content of microbial biomass nitrogen in soil significantly decreased by 53.27% after 2 years of CDR. The content of organic matter, total nitrogen, available potassium, and microbial biomass carbon in soil had an increasing trend, while the pH, the content of available nitrogen, available phosphorus, acid phosphatase, and alkaline phosphatase in soil had a decreasing trend, but there was no significant difference. All indexes except for the content of microbial biomass nitrogen had a decreasing trend to varying degrees compared with RM. There was no significant difference between CDR and RM in term of soil fertility. However, CDR had an upward trend in the soil fertility index of paddy fields, with an increase of 7.94%, while the soil fertility index of RM decreased, and the soil fertility index of CDR was 3.03% higher than that of RM in 2023. It is indicated that there was no significant change in soil fertility in paddy fields under two years of CDR.

      • 0+1
      • 1+1
      • 2+1
      • 3+1
    • Evaluating service functions and value of ecosystemin rice fields under different models of integrated farming

      2025, 44(3):91-103. DOI: 10.13300/j.cnki.hnlkxb.2025.03.011

      Abstract (85) HTML (38) PDF 0.00 Byte (165) Comment (0) Favorites

      Abstract:Field experiments with five kinds of ecosystems including rice monoculture model (CK), rice-crayfish coculture model (RC),rice-duck-crayfish unit release model (CRXD),rice-duck-crayfish “nomadic duck” model (NRXD),and rice-duck-crayfish large field block model (BRXD) in rice fields were conducted to evaluate the service functions and value of ecosystemin rice fields under different models of farming. The results showed that the total service value of ecosystemin rice fields under the model of CK,RC,NRXD,CRXD,and BRXD was 104 300,136 000,137 600,140 600,and 139 700 yuan/hm2,respectively. The average service value of ecosystemin rice fields under the models of integrated farming increased by 32.8% compared with CK. The ecological value in the 5 kinds of ecosystems accounted for 70.3%-81.0% of the total value,with the highest value in the function of regulating climate. The value of carbon sequestration and oxygen release under the model of RC,NRXD,CRXD,and BRXD was 6 527.48,6 609.40,6 593.01,and 6 519.91 yuan/hm2,respectively. The service value of ecosystemin rice fields under CRXD was the highest,at 140 600 yuan/hm2 based on comprehensively analyzing the service functions of 13 ecosystems in rice fields and the service value of ecosystem under 4 modes of integrated farming in rice fields. It will provide reference and basis for evaluating the value of ecological service and optimizing the mode of integrated farming in rice fields.

    • Comparason on efficiency of two duck varieties in weed control, pest management, and predation on residual crayfish in rice fields

      2025, 44(3):104-111. DOI: 10.13300/j.cnki.hnlkxb.2025.03.012

      Abstract (78) HTML (43) PDF 0.00 Byte (161) Comment (0) Favorites

      Abstract:To identify the most suitable duck breeds for the rice-duck-crayfish integrated system (RDCI), this study compared the weed management, pest control, and residual crayfish predation abilities of the meat duck group (Wuqin No. 10) and the laying duck group (Nonghu No.2), using the rice-crayfish continuous culture model (RCCC) as a control. The key findings are as follows: (1) Weed management: the meat duck group’s control efficacy against Alternanthera philoxeroides was 50.40%, repesenting a significant improvement over the laying duck group’s -198.34% (P<0.05). Additionally, the meat duck group also demonstrated a 56.82% efficacy against Cyperus difformis, surpassing the laying duck group’s efficacy of 37.88%. the meat duck group achieved a 79.31% efficacy against Echinochloa crusgalli, which was slightlt lower than the laying duck group’s efficacy of 81.03%. (2) Pest control: after a 30-day period with ducks present, both the meat duck and Laying duck groups achieved a complete control efficacy of 100% against Chilo suppressalis. The meat duck group demonstrated a control efficacy of 74.93% against Cnaphalocrocis medinalis, which was higher than the Laying duck group’s efficacy of 45.00%. One day after the removal of the ducks, the meat duck group’s control efficacy against Cnaphalocrocis medinalis was 99.20%, surpassing the laying duck group’s efficacy of 94.60%. Both groups achieved a 100% control efficacy against C. suppressalis, with no plant mortality observed. (3) Predation on residual crayfish: the meat duck group exhibited a daily predation rate of 1.67 crayfish tails, which was higher than the laying duck group’s rate of 1.33 tails per day. The meat duck group’s crayfish seed yield in the subsequent year was 60.00 kg/hm2, which was lower than the laying duck group’s yield of 75.5 kg/hm2, but both yields were significantly below the RCCC group’s yield of 670.91 kg/hm2P<0.05). Considering weed management, pest control, and the predation abilities of the residual crayfish, it was determined that the Wuqin No. 10 meat duck is better suited for the RDCI.

      • 0+1
      • 1+1
    • Effects of sodium humate and Bacillus subtilis on growth performance,antioxidant capacity and immunoenzyme activity of Procambarus clarkii

      2025, 44(3):112-119. DOI: 10.13300/j.cnki.hnlkxb.2025.03.013

      Abstract (82) HTML (45) PDF 0.00 Byte (172) Comment (0) Favorites

      Abstract:To enhance the stress resistance of Procambarus clarkii and improve the economic and ecological benefits of its aquaculture by identifying suitable feed additives,this study selected 360 P.clarkii[(13.59±0.25) g] and randomly divided them into four treatment groups.The subjects were fed a basal diet (control,CN),a basal diet supplemented with 0.5% Bacillus subtilis (BS),0.5% sodium humate (HNa),or a combination of 0.5% sodium humate +0.5% B. subtilis (BS+HNa),respectively,to investigate the effects of sodium humate and B. subtilis supplementation on the growth performance,antioxidant capacity,and immunoenzyme activity of P. clarkii.The results showed that,regarding growth performance,the feed conversion ratio in the BS,HNa and BS+HNa groups was significantly lower than that in the CN group.Conversely,the protein efficiency ratio in the BS,HNa,and BS+HNa groups was significantly higher than that in the CN group.Additionally,the feed conversion ratio in the BS+HNa group was significantly lower than that in the BS and HNa groups.The weight gain rate,specific growth rate,and protein efficiency ratio in the experimental groups were significantly higher than those in the CN group.Regarding antioxidant property,the activities of catalase (CAT) and total antioxidant capacity (T-AOC) in the hemolymphatic and hepatopancreas tissues of the BS+HNa group were significantly higher than those in the other groups.Additionally,the malondialdehyde (MDA) content was significantly lower than that in the other groups,and the superoxide dismutase (SOD) level was significantly higher than that in the CN group.Moreover,sodium humate and B. subtilis exhibited significant interaction in reducing MDA levels in shrimp.Regarding immunoenzyme activity,the alkaline phosphatase (AKP) and acid phosphatase (ACP) activities activity levels in the hemolymph and hepatopancreas of the BS,HNa and BS+HNa groups were significantly higher than those in the CN group.Furthermore,the activity levels in the BS+HNa group were significantly greater than those in the BS and HNa groups.These results indicate that both individual and combined supplementation with 0.5% sodium humate and 0.5% B. subtilis both improved the growth performance,antioxidant capacity,and immune performance of P. clarkii,with the combined supplementation showing superior effects compared to individual theatment.Therefore,the combined use of sodium humate and B. subtilis is recommended.

    • Effects of feeding frequency and feeding level on growth,nutrient composition,and biochemical parameters of Procambarus clarkii

      2025, 44(3):120-127. DOI: 10.13300/j.cnki.hnlkxb.2025.03.014

      Abstract (106) HTML (50) PDF 0.00 Byte (179) Comment (0) Favorites

      Abstract:This study aimed to investigate the effects of feeding frequency and feeding levels on the physiological responses of Procambarus clarkii,with the goal of optimizing feeding strategies to enhance feed utilization and reduce environmental waste discharge.A total of 810 crayfish,with an average body weight of (4.97±0.11) g were randomly divided into 9 treatment groups,each with 3 replicates,following a 3×3 two-factor experimental design.The daily feeding frequencies were once (F1),twice (F2),and three times (F3),while the feeding levels were set at 3% (L3),4.5% (L4.5),and 6% (L6) of the experimental shrimp’s body weight.The experiment lasted for 56 days.The results showed that the weight gain rate (WGR) and specific growth rate (SGR) of shrimp in the L4.5 and L6 groups were significantly higher than those in the L3 group (P<0.05).The L6 group exhibited significantly higher WGR,SGR,and feed conversion ratio (FCR) compared to the L3 and L4.5 groups (P<0.05).In terms of whole-body and muscle nutrient composition,the crude protein content in the L4.5 and L6 groups was significantly higher than that in the L3 group (P<0.05),while the crude fat content in the whole body of the L6 group was significantly higher than in that in the L4.5 and L3 groups.Serum biochemical analysis revealed that levels of alkaline phosphatase (AKP),acid phosphatase (ACP),superoxide dismutase (SOD),catalase (CAT),and malondialdehyde (MDA) in the L6 and L4.5 groups were significantly higher than those in the L3 group (P<0.05).The MDA level in the F1 group was significantly lower than in the F2 and F3 groups (P<0.05),with significant interaction effects observed between feeding frequency and level (P<0.05).Based on WGR,survival rate,and feed cost,the L4.5 group achieved the highest economic benefit (approximately 23.45 yuan/kg),followed by the L6 group,while the L3 group yielded the lowest profit (13.65 yuan/kg).The L4.5F2 group exhibited the lowest feed cost and the highest economic return.Considering growth performance,health status,and cost-effectiveness,a feeding level of 4.5% of body weight,administered twice daily,is recommended for rice-crayfish integrated farming systems.

    • Effects of black rice anthocyanins on growth,antioxidant capacity,immune enzyme activity,and intestinal health of Procambarus clarkii

      2025, 44(3):128-135. DOI: 10.13300/j.cnki.hnlkxb.2025.03.015

      Abstract (73) HTML (54) PDF 0.00 Byte (166) Comment (0) Favorites

      Abstract:To comprehensively evaluate the applicability of black rice and black rice anthocyanin extract in the feed of Procambarus clarkii,450 juvenile crayfish were randomly allocated into five groups.These groups were fed diets supplemented with 0 (control group,CON),200 g/kg black rice (BR200),400 g/kg black rice (BR400),200 mg/kg anthocyanin extract (AC200),or 400 mg/kg anthocyanin extract (AC400) for 8 weeks.The effects of different forms and supplementation levels of black rice anthocyanins in feed on growth performance,antioxidant capacity,immune response,and intestinal health were investigated.The results revealed that: (1) The BR400 group achieved the highest weight gain rate (WGR) and specific growth rate (SGR),showing no significant difference from AC400,and both were significantly higher than those of the control group.(2) Antioxidant enzyme activities in the hemolymph,hepatopancreas,and intestine were elevated across all treatment groups.AC400 exhibited the highest total antioxidant capacity (T-AOC) and superoxide dismutase (SOD) activity in both the hemolymph and hepatopancreas,with no significant difference observed compared to BR400.Notably,BR200 displayed the highest intestinal T-AOC and SOD activity,significantly surpassing both AC400 and CON groups.(3) Acid phosphatase (ACP) and alkaline phosphatase (AKP) activities in hepatopancreas and intestine were significantly elevated across all treatment groups.BR400 exhibited the highest levels of polyphenol oxidase (PPO),ACP,and AKP activities in the hemolymph.(4) AC400 demonstrated the highest intestinal amylase activity,while AC200 showed the highest trypsin activity.Additionally,crypt depth in all treatment groups was significantly greater than in CON.These findings indicate that dietary supplementation with either 400 g/kg of black rice or 400 mg/kg of black rice anthocyanin extract effectively enhances growth performance,antioxidant capacity,immune function,and digestive efficiency in P. clarkii.Optimal supplementation levels are recommended at 400 g/kg of black rice or 400 mg/kg of black rice anthocyanin extract.

    • Effects of sodium humate and Bacillus subtilis supplementation on nutritional components,physicochemical properties, flavor substances and taste of Procambarus clarkii muscle

      2025, 44(3):136-146. DOI: 10.13300/j.cnki.hnlkxb.2025.03.016

      Abstract (88) HTML (51) PDF 0.00 Byte (168) Comment (0) Favorites

      Abstract:To enhance the muscle quality of Procambarus clarkii and provide a high-quality protein supply,360 P. clarkii with an average weight of (13.59±0.25) g were randomly divided into 4 groups.Each group was fed one of the following diets:a basal diet (control check,CK),a basal diet supplemented with 0.5% Bacillus subtilis (BS),a basal diet supplemented with 0.5% sodium humate (HNa),and a basal diet supplemented with 0.5% Bacillus subtilis and 0.5% sodium humate (BS + HNa),respectively.The effects of sodium humate and B. subtilis on the nutritional composition,texture,volatile flavor compounds,and taste of P. clarkii were investigated.The results showed that in terms of nutritional composition,the crude protein,crude fat,and ash content of the shrimp meat in the BS + HNa group were significantly higher than those in both the control group and the BS group.Regarding the physical and chemical properties of the muscle,the L* and a* values of the BS + HNa group were significantly higher than those of the other groups,while the b* value was significantly lower.Moreover,the elasticity,hardness,resilience,chewiness,and cohesiveness of the shrimp meat in this group were significantly higher than those of the other groups.In terms of volatile substance detection,36,39,34,and 30 volatile compounds were identified in the control,BS,HNa,and BS + HNa groups,respectively.Among these compounds,the content of lauraldehyde,which is associated with a fatty aroma,was significantly higher in the BS,HNa,and BS + HNa groups compared to the control group.Conversely the content of 1-octen-3-ol,which is related to a fishy odor,was significantly lower in the experimental groups than in the control group.In terms of muscle taste characteristics detected by the sensor,the BS + HNa group exhibited the lowest responses to bitterness and saltiness,which were significantly lower than those of the other groups.Conversely,this group demonstrated the highest responses to sweetness and umami,surpassing those of the control group.In conclusion,the combined addition of 0.5% sodium humate and 0.5% Bacillus subtilis can significantly improve the nutritional composition and muscle quality of P. clarkii,and this combined approach is superior to the individual additions.

      • 0+1
      • 1+1
      • 2+1
      • 3+1
    • Effects of different breeding strategies on reproductive performance of Procambarus clarkii

      2025, 44(3):147-155. DOI: 10.13300/j.cnki.hnlkxb.2025.03.017

      Abstract (84) HTML (42) PDF 0.00 Byte (157) Comment (0) Favorites

      Abstract:To screen effective breeding strategies for Procambarus clarkii and address the shortage of high-quality seedlings,this study compared the reproductive performance of germplasm populations formed through self-rearing,external introduction,and selective breeding.Additionally,and using regression analysis and structural equation modeling (SEM) were employed to elucidate the key phenotypic traits and their pathways influencing reproductive performance.The results showed that P. clarkii from the selectively bred population exhibited significantly higher absolute fecundity [(621.35±173.43) eggs/female],relative fecundity [(15.53±2.57) eggs/g],total egg mass [(4.31±1.53) g],and egg-carrying rate (94.7%) compared to individuals from the introduced population [(374.35±85.75) eggs/female,(13.15±2.42) eggs/g,(3.36±0.82) g,71.7%; P<0.05] and the self-reared population [(190.54±79.08) eggs/female,(12.30±3.11) eggs/g,(1.44±0.67) g,52%; P<0.01].The absolute fecundity of the introduced population was significantly higher than that of the self-reared population (P<0.05),but there was no significant difference in their relative fecundity.SEM analysis revealed that the standardized path coefficient from carapace width to absolute fecundity (0.542) was higher than those from body weight (0.451) and total egg mass (0.387),indicating that carapace width is the most critical phenotypic trait influencing absolute fecundity.Carapace width indirectly enhanced absolute fecundity by influencing both body weight and total egg mass,with the model showing a good fit (CFI=0.918,GFI=0.917,RMSEA=0.056).Furthermore,the carapace width of the selectively bred population [(2.52±0.19) cm] was significantly greater than that of the introduced population [(2.39±0.13) cm,P<0.001] and the self-reared population [(1.91±0.31) cm,P<0.001].These results indicate that selective breeding is an effective strategy for enhancing the reproductive performance of P. clarkii,with carapace width being the key phenotypic trait responsible for this improvement.

      • 0+1
      • 1+1
      • 2+1
      • 3+1
    • Effects of high temperature on behavior, growth performance and weeding control efficacy of meat duck in rice-duck co-culture

      2025, 44(3):156-163. DOI: 10.13300/j.cnki.hnlkxb.2025.03.018

      Abstract (50) HTML (28) PDF 0.00 Byte (135) Comment (0) Favorites

      Abstract:5 rice fields divided into one large field (T0, 2 hm2) and four small fields (T1?T4, each one was 0.33 hm2) in rice-duck co-culture were used to study the effects of high temperature in summer on the behavior, weeding control efficacy, and growth performance of Wuqin 10 meat ducks.Ducks were farmed at a density of 105?225 ducks/hm2, and the experiment was conducted from June 30th to August 31st.The occurrence and duration time of the behavior of duck including swimming, resting, and feeding in the field throughout the day, and its effects on weeding were continuously observed.The data on the outdoor temperature at 08:00 and 14:00 every day, the weight gain of ducks and feed consumption every week during the period of experiment were recorded.The results showed that the peak of duck’s activity in the field occurred during the cooler periods of 05:00?10:00 and 15:00?19:00 under the condition of high temperature in summer.Ducks actively sought shade to cool off during the period of high temperature at noon.Ducks generally moved within a certain radius near the duck house, and there was almost no activity of duck at the distal region of T0 field far away the duck house.The effect of rice-duck co-culture on weeding was positively correlated with the frequency of ducks' activities in the field, and the significantly reduced frequency of ducks' activities in waterless areas resulted in poor effect of weeding.High temperature led to heat stress in ducks and significantly reduced the growth rate of ducks.It is indicated that Wuqin 10 meat ducks are suitable for the rice-duck co-culture, and its effect of weeding is positively correlated with the activity range of ducks.The high temperature in summer significantly affects the growth performance of ducks.Sunshade in sports fields, irrigation in rice fields and circular ditches can effectively alleviate the heat stress in ducks.

      • 0+1
      • 1+1
      • 2+1
    • Consumer preferences and willingness to pay for whole grains: a case study of black rice

      2025, 44(3):164-175. DOI: 10.13300/j.cnki.hnlkxb.2025.03.019

      Abstract (63) HTML (22) PDF 0.00 Byte (152) Comment (0) Favorites

      Abstract:The promotion of whole grains is critical for enhancing food security and improving public health in China.This study analyzes consumer preferences and willingness to pay for six attributes of black rice, based on data from a survey of 408 consumers and using a choice experiment method.The results reveal that consumers exhibit strong preferences and high willingness to pay for food safety attributes of black rice, including green food certification and food quality certification.In contrast, there is no significant preference for other attributes, such as brand, taste, and sales channels.Additionally, consumer perception of the nutritional value of black rice generally positively affects consumer preferences for black rice, with most significant impact observed for green food certification.Lastly, higher-income consumers demonstrate a preference for brand and taste attributes.Our findings suggest a series of policy implications, including enhancing food safety regulation, increasing public education on food safety, raising public awareness about the nutritional value of black rice, and offering differentiated black rice products based on market heterogeneity.

    • Effects of integrated farming in rice fields and use of Huamoxiang rice varieties on economic benefits of farmers

      2025, 44(3):176-191. DOI: 10.13300/j.cnki.hnlkxb.2025.03.020

      Abstract (94) HTML (29) PDF 0.00 Byte (154) Comment (0) Favorites

      Abstract:The double pressures from the growth of population and the environment of resources in the context of globalization are driving agriculture to continuously seek new paths to improve the overall production efficiency and economic benefits. This article focused on examining the role of the integrated model of farming rice and Huamoxiang rice varieties in improving economic benefits of farmers, with a particular focus on the two core economic indexes including the income and profit of planting. The analysis method combining questionnaire survey and econometric model was used to study the synergistic effect of the integrated model of farming rice and the use of Huamoxiang rice varieties on the economic benefits of farmers. The results showed that the synergistic effect of the integrated model of farming rice and the use of Huamoxiang rice varieties significantly increased the income and profit per unit area of ??farmers, with a significant increase in income and economic returns. In addition, land transfer, as an adjusting variable, further optimized the allocation of land resources and had a positive impact on the economic benefits of the. It will provide the empirical evidence for the integrated model of farming rice and the promotion of Huamoxiang rice varieties, and theoretical support for improving the efficiency of land use and promoting the sustainable development of agriculture.

      • 0+1

Current Issue


Volume , No.

Table of Contents

Archive

Volume

Issue

Most Read

Most Cited

Most Downloaded