• Volume 44,Issue 4,2025 Table of Contents
    Select All
    Display Type: |
    • >Amelioration and fertility improvement for middle and low productivity arable land
    • Technologies and comprehensive utilization models for rapeseed with acid-resistance and high-yield in acidic soils of China

      2025, 44(4):1-10. DOI: 10.13300/j.cnki.hnlkxb.2025.04.001

      Abstract (379) HTML (96) PDF 0.00 Byte (616) Comment (0) Favorites

      Abstract:The low productivity of acidic soil is one of the main problems limiting the food security and sustainable development of agriculture in China.It is urgent to improve the adaptability of rapeseed to acidic soils and develop rapeseed with acid-resistance and high-yield with the severe acidification of soil in China.Five technical measures including screening rapeseed varieties with acid-resistance,developing the formulas of acid-tolerant seed granulation,developing formula fertilizer for rapeseed with acid tolerance and high yield,applying organic fertilizers,and using conditioners for acidic soil were put forward to increase the production capacity of rapeseed and realize the green development of the rapeseed industry.Regional high-yield technologies and comprehensive utilization models for rapeseed with acid-resistance in terms of the slightly,moderately and strongly acidic soils were proposed to alleviate the acidification of soil,increase the yield of rapeseed,and achieve the goal of increasing yield and efficiency.The measures of cultivating and managing rapeseed with high-yield and stress resistance were elaborated.A path for developing rapeseed industry with high-quality in the future in acidic soil areas in response to the trend of farmland acidification in China was proposed to provide important guarantees for ensuring the security of edible oil in China.

      • 0+1
      • 1+1
    • Progress on effects and mechanism of biochar on amelioration of acidified soils

      2025, 44(4):11-21. DOI: 10.13300/j.cnki.hnlkxb.2025.04.002

      Abstract (339) HTML (90) PDF 0.00 Byte (541) Comment (0) Favorites

      Abstract:The problem of acidification in soil is widespread in China,causing serious impacts on the agricultural production and environmental safety.Biochar,as an excellent material for ameliorating acidic soils,has received extensive attention in recent years.However,there is relatively few studies on the effects and mechanism of biochar on ameliorating acidic soils.This article reviewed the research status of biochar in ameliorating acidic soil from three aspects including reducing acidity,improving the physical and chemical properties and biological characteristics of soil,and promoting the growth of crops.The mechanism of biochar reducing the acidity in soil including the binding of alkaline substances in biochar with H+,the esterification,adsorption and complexation of oxygen-containing function groups with exchangeable A13+ in soil was clarified.The activities of microorganisms in soil were promoted by changing the environment in soil to regulate the growth of microorganisms in soil.The environment for the growth of crop roots was improved to increase the abundance of microbial communities of rhizosphere and regulate the development of root.The studies on the effects and mechanism of biochar on the amelioration of acidified soils were prospected to provide theoretical basis for alleviating the acidification in soils and promoting sustainable utilization of acidic soils.

      • 0+1
    • Method for evaluating redox capacity of humic substances and its applications

      2025, 44(4):22-36. DOI: 10.13300/j.cnki.hnlkxb.2025.04.003

      Abstract (149) HTML (125) PDF 0.00 Byte (501) Comment (0) Favorites

      Abstract:Humic substances, as a natural organic matter commonly present in soil and sediment, is crucial in the processes of biogeochemical cycling and energy flux within ecosystems.The active functional groups including quinones contained in the molecular structure of humic acid endow humic acid with redox properties, making it play a key role in the transformation of environmental pollutants and the improvement of soil fertility.Accurately evaluating the redox capacity of humic substances is the foundation for the in-depth elucidation of its environmental behavior and functional mechanisms.At present, the main methods for evaluating the redox capacity of humic substances include redox titration, electrochemical techniques, and microbial assays.This article reviewed the principles, experimental protocols, and application scope of oxidation-reduction titration, electrochemical techniques, and microbial assays, and deeply analyzed the advantages and limitations of each method in evaluating the redox capacity of humic substances.The results showed that the redox titration is simple to operate, but its quantitative accuracy is limited by the way of determining endpoint.Electrochemical techniques have high sensitivity but are susceptible to external interference from environments.Microbial assays can simulate natural conditions well but have a longer cycle of analyses.The emerging trends for evaluating the redox capacity of humic substances are discussed in terms of developing new electrochemical sensors, optimizing in-situ measurement techniques, and implementing multi-modal analytical strategies.It will offer a theoretical framework for selecting appropriate methods for evaluating the redox capacity of humic substances from diverse sources and establishing a robust scientific foundation for promoting the application of humic substances in remediating environment and boosting agricultural productivity.

      • 0+1
      • 1+1
      • 2+1
      • 3+1
    • Effects of potassium silicate-modified biochar on speciation of aluminum and silicon in soil,growth and yield of wheat

      2025, 44(4):37-46. DOI: 10.13300/j.cnki.hnlkxb.2025.04.004

      Abstract (136) HTML (69) PDF 0.00 Byte (495) Comment (0) Favorites

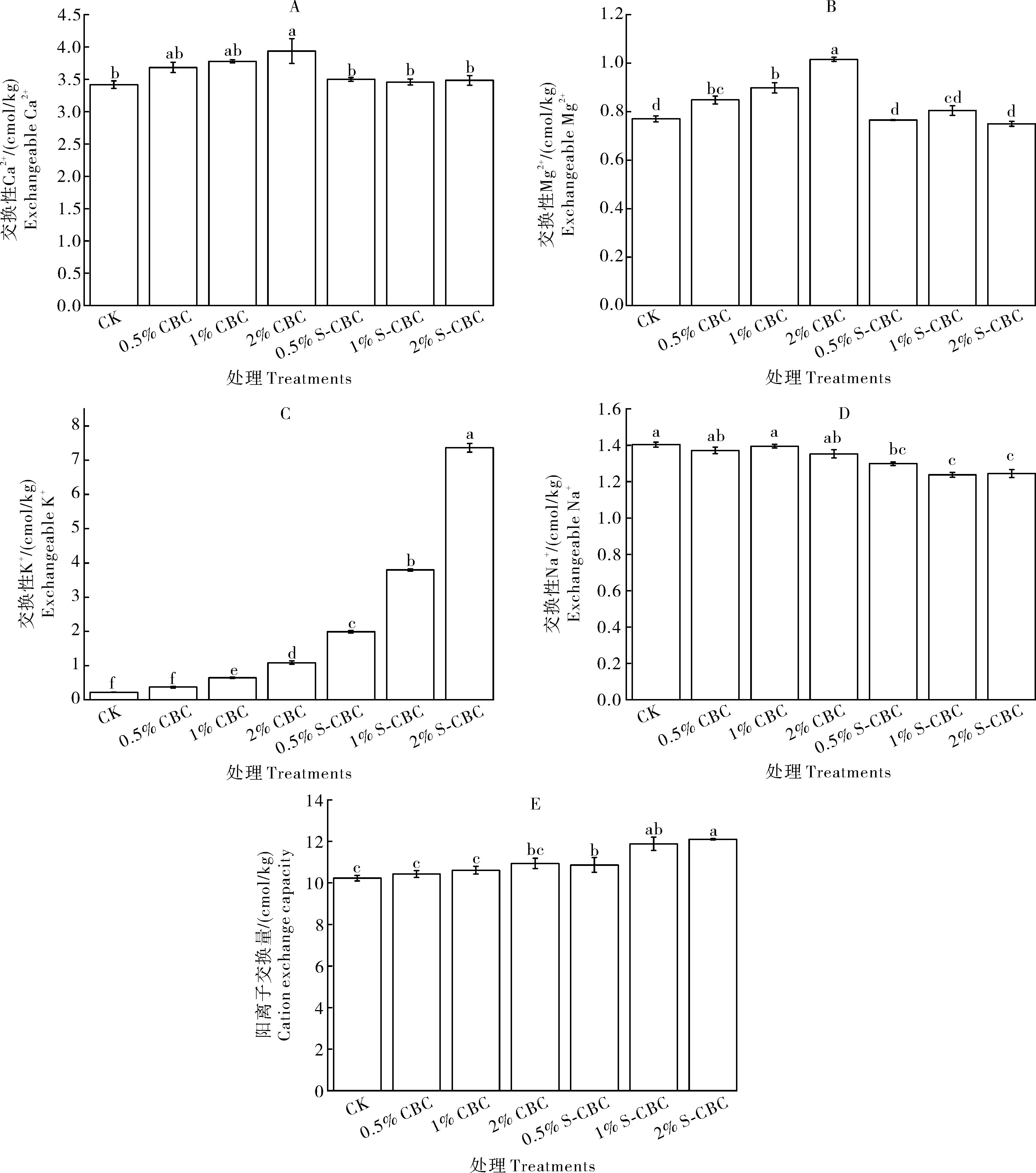
      Abstract:Acidic soil was used to study the effects of potassium silicate-modified biochar on the speciation of aluminum(Al) in soil and the growth of crops.7 treatments including CK (no biochar),0.5% raw biochar (0.5% unmodified biochar,0.5% CBC),1% raw biochar (1% CBC),2% raw biochar (2% CBC),0.5% potassium silicate-modified biochar (0.5% S-CBC),1% potassium silicate modified biochar (1% S-CBC),and 2% potassium silicate modified biochar (2% S-CBC) were set up for pot experiments to plant wheat and measure soil properties,with 4 replicates per treatment.The results showed that the effect of S-CBC on promoting the growth of wheat was higher than that of raw biochar.The root vitality of wheat seedlings treated with 0.5% S-CBC significantly increased by 103.0%.The single-spike weight of wheat treated with 0.5% S-CBC significantly increased by 8.61% compared to that with 2% CBC.S-CBC treatment significantly reduced the content of aluminum in wheat plants and increased the absorption of silicon by roots of wheat.The addition of biochar significantly decreased the content of exchangeable acids in soil.0.5% S-CBC treatment decreased the content of exchangeable acid by 29.17% and promoted the conversion of active aluminum to inactive state compared to 2% CBC treatment,indicating that the effect of S-CBC is significantly stronger than that of CBC.Biochar increased exchangeable base cations in soil,and 0.5% S-CBC treatment increased exchangeable K+ by 87.96% compared to 2% CBC treatment.Biochar increased microbial activity in soil and changed the composition of bacterial community,with soil pH and exchangeable Al3? (Ex-Al3?) identified as key factors affecting the richness of microbial community.Overall,the addition of S-CBC improved soil fertility,alleviated soil acidity,increased microbial activity in soil,and thus promoted the growth of wheat.The best effect was achieved with the addition of 0.5% S-CBC to the soil tested.

      • 0+1
      • 1+1
      • 2+1
      • 3+1
      • 4+1
      • 5+1
      • 6+1
      • 7+1
    • Stability and affecting factors of red soil agglomerates in dryland converted paddy fields

      2025, 44(4):47-57. DOI: 10.13300/j.cnki.hnlkxb.2025.04.005

      Abstract (135) HTML (108) PDF 0.00 Byte (466) Comment (0) Favorites

      Abstract:The traditional dryland (HS0), dryland converted paddy field in 1 year (HS1), dryland converted paddy field in 5 year (HS5) and local traditional paddy field (CK) in typical dryland-to-paddy area of Guangxi Zhuang Autonomous Region were selected to study the effects of dryland converted paddy field (dryland-to-paddy) on soil aggregates in southern red soil areas. Methods including dry screening and wet screening were used to compare and analyze the properties of soil aggregates in the tillage layer. The results showed that the content of soil aggregates >0.25 mm (R>0.25) in mechanical aggregates and water-stable aggregates in HS0, HS1, HS5 and CK was 90.0%, 94.0%, 95.8%, 98.1% and 81.0%, 70.6%, 76.0% and 95.4% in the traditional arid land and after dryland-to-paddy, with the mean weight diameter (ΦMWD) of 3.35 mm, 3.63 mm, 3.69 mm, 4.73 mm and 2.25 mm, 0.94 mm, 1.54 mm, 4.63 mm, respectively. The geometric mean diameter (ΦGMD) of the water-stable aggregates in HS1 decreased by 68% compared with that in HS0. The percentage of aggregate destruction (rPAD) of > 0.25 mm aggregate increased first and then decreased with the years of dryland-to-paddy compared with that in HS0, with the increase in HS1 and HS5 by 61% and 34%, while there was a significant decrease of 76% in CK. The results of structural equation model and random forest analyses indicated that the cation exchange capacity (CEC) and the content of total nitrogen (TN) in soil were the important factors affecting the stability of soil aggregates in the tillage layer of dryland converted paddy fields.

      • 0+1
      • 1+1
      • 2+1
      • 3+1
    • Effects of vermicompost-based acid soil conditioners on acidity-alkalinity and fertility in acidic soil,and growth of Shanghaiqing

      2025, 44(4):58-67. DOI: 10.13300/j.cnki.hnlkxb.2025.04.006

      Abstract (155) HTML (81) PDF 0.00 Byte (488) Comment (0) Favorites

      Abstract:Two vermicompost-based acid soil conditioners including B+M+V and BMV were developed by incorporating high-alkalinity substances-oyster shell powder (M) and biochar (B) into vermicompost (V) through physical mixing and vermicomposting to enhance the improvement performance of vermicompost acid soil. A pot experiment was conducted to compare the effects of applying B+M+V,BMV,and other amendments including quicklime (L),oyster shell powder (M),biochar (B),and vermicompost (V). The results showed that the effect of reducing the acid in soil was most significant under the application of L and M,with pH in soil increased by 3.18 and 2.81 units,and soil acid-base buffering capacity (pHBC) increased by 196.81% and 236.97%,respectively. The effect of reducing the acid in soil was the second under the application of B+M+V and BMV,with pH in soil increased by 1.35 and 1.49 units,and pHBC increased by 124.97% and 104.07%,respectively. The effect of reducing the acid in soil was the weakest under the application of B and V. The application of V,B+M+V,and BMV effectively improved the fertility in soil. Among them,the application of B+M+V and BMV increased the content of organic matter in soil by 197.53% and 222.51%,respectively,while significantly increasing the content of available phosphorus and available potassium,and the value of cation exchange capacity (CEC) in soil. The plant height and biomass of Shanghaiqing under the application of B+M+V and BMV were significantly higher than those under the application of L,M,and B. The accumulated absorption of nitrogen,phosphorus,and potassium by Shanghaiqing were significantly increased under the application of B+M+V and BMV. The results of principal component analysis showed that L and M excelled at reducing the acid in soil,V,B+M+V,and BMV were good at improving the fertility in soil,while B+M+V and BMV were effective in promoting the growth of plant. B+M+V and BMV performed the best in the comprehensive improvement of acid soil. It is indicated that the two types of vermicompost-based acid soil conditioners developed effectively combine the advantages of pure vermicompost for improving the fertility in soil and high alkalinity substances for strongly reducing the acid in soil,and can play an excellent comprehensive role in improving acid soils.

      • 0+1
      • 1+1
      • 2+1
      • 3+1
      • 4+1
    • Effects of two amendment formulations on nutrients,enzyme activity and absorption of nutrient by chili peppers in acidic soils

      2025, 44(4):68-78. DOI: 10.13300/j.cnki.hnlkxb.2025.04.007

      Abstract (143) HTML (39) PDF 0.00 Byte (484) Comment (0) Favorites

      Abstract:Chili pepper was used to conduct a pot experiment to study the effects of Trichoderma harzianum and dolomite,and the combined application of both on the improvement of acidic soils. A two-factor and three-level orthogonal experiment (Trichoderma harzianum applied at 0 g/pot,3 g/pot and 6 g/pot,and dolomite applied at 0 g/kg,3 g/kg,and 6 g/kg) was designed to result in 9 treatment groups including H0S0,H3S0,H6S0,H0S3,H3S3,H6S3,H0S6,H3S6 and H6S6. The results showed that the combined application of Trichoderma harzianum and dolomite significantly increased soil pH. The H6S6 had the highest content of organic matter in soil. The combined application of Trichoderma harzianum and dolomite increased the content of alkaline-hydrolyzable nitrogen in soil,and the high-dose combination of Trichoderma harzianum with dolomite (H6S3,H6S6) significantly increased the content of available phosphorus. The combined application of high-dose dolomite and high-dose Trichoderma harzianum significantly increased the content of total nitrogen and urease activity in soil. Compared with the control group (H0S0),the content of total nitrogen in the H6S6 treatment increased by 213.50% and the activity of urease in the H6S6 treatment enhanced by 61.97%. In terms of the absorption of nutrient by chili peppers,the content of total nitrogen and total phosphorus in the fruits in H3S3 treatment was the highest,significantly increased by 32.32% and 292.37% compared with that in H0S0 (CK). It is indicated that the combined application of Trichoderma harzianum and dolomite can effectively improve the nutrient status in acidic soils and the activity of enzyme in acidic soils,and promote the absorption of nutrient by chili peppers,with the H6S6 treatment having the best performance in terms of comprehensive benefits. It will provide a scientific basis for the improvement of acidified soil.

      • 0+1
      • 1+1
      • 2+1
      • 3+1
      • 4+1
      • 5+1
      • 6+1
    • Effects of gypsum combined with organic materials on alkalized solonchaks and growth of maize

      2025, 44(4):79-87. DOI: 10.13300/j.cnki.hnlkxb.2025.04.008

      Abstract (114) HTML (60) PDF 0.00 Byte (458) Comment (0) Favorites

      Abstract:The techniques of saving water,reducing alkalinity and enhancing soil fertility in heavily saline-alkaline areas in Ningxia were developed to solve practical problems including equal emphasis on saline and alkali in soil,shortage of freshwater resources,and difficulties in the growth of crops in arid areas.Four organic materials including organic fertilizer,maize straw,furfural residue,and biochar were selected for combination with desulfurization gypsum.The treatment without any improved materials was used as a control.A series of bucket cultivation experiments were conducted in Huinong District,Ningxia to study the effects of gypsum irrigation with slightly salty water droplets combined with organic materials on the properties of alkaline and saline in soil and the growth of maize.The results showed that the application of gypsum increased the content of exchangeable calcium in the soil,significantly decreased the conductivity and pH in soil,with a decrease in conductivity of 28.3%-57.9%.The content of total nitrogen,alkali hydrolyzed nitrogen,available potassium,and organic carbon in the soil was significantly decreased,but the conductivity in soil increased and the content of available phosphorus decreased in the following spring.The combination of gypsum and organic fertilizer with 0.56% furfural residue or biochar further decreased the electrical conductivity in soil and increased the content of exchangeable calcium,maintaining the content of total nitrogen and available potassium in soil,significantly increasing the content of organic carbon,alkali hydrolyzed nitrogen,and available phosphorus in soil.The addition of 0.56% furfural residue combined with gypsum and organic fertilizer significantly mitigated the salinity and alkalinity in soil in the following year,while significantly increasing the content of organic carbon,total nitrogen,available phosphorus,and the cation exchange capacity in soil to significantly increase the plant height,stem diameter of maize,ultimately increasing the biomass of maize.It is indicated that the economic benefit of furfural residue is better than that of biochar,therefore,the combination of desulfurization gypsum combined with organic fertilizer and furfural residue is suitable for improving the alkalized solonchaks soil.

      • 0+1
      • 1+1
    • >Crop genetic improvement and cultivation
    • Genome-wide identification of GATA family in rice and analysis of its responses to drought and salt stress

      2025, 44(4):88-101. DOI: 10.13300/j.cnki.hnlkxb.2025.04.009

      Abstract (146) HTML (106) PDF 0.00 Byte (594) Comment (0) Favorites

      Abstract:Rice,as a staple crop for over half of the global population,faces severe constraints in growth and development due to the drought and salt stress.Mining key regulatory genes for stress resistance in rice and deciphering their molecular mechanisms have become critical strategies for breeding high-yield and stable-yield varieties with changes in global climate intensifying.A genome-wide identification of the GATA transcription factor family was conducted and their characteristics of responding to stress were investigated to systematically identify core drought-resistant and salt-tolerant genes in rice.The results showed that 27 OsGATA genes were distributed across 12 chromosomes of rice and classified into 6 subfamilies (I-VI),with subfamily IV accounting for the highest proportion(29.6%).Members within the same subfamily exhibited conserved motif compositions (CX?CX??-??CX?C).The results of cross-species collinearity analysis showed that there were 18 homologous gene pairs between rice and maize (Zea mays RefGen_v4),indicating that the evolutionary expansion of the GATA family in monocots is through ancestral gene duplication.The results of tissue-specific expression profiles showed that OsGATA17 and OsGATA26 are highly expressed in most tissues,with the expression of latter displaying particularly prominent in the shoot apical meristem (SAM).The results of qRT-PCR validation showed that OsGATA5OsGATA8,and OsGATA13 were specifically upregulated under the drought stress,while OsGATA18 was significantly suppressed under the salt stress.It is indicated that the rice GATA family regulates the responses to abiotic stress with spatiotemporal-specific patterns of gene expression.It will provide critical targets for studying the functions of stress-resistance genes.

      • 0+1
      • 1+1
      • 2+1
      • 3+1
      • 4+1
      • 5+1
      • 6+1
      • 7+1
      • 8+1
      • 9+1
    • Obtaining growth information of peanut in fields based on 3D LiDAR perception

      2025, 44(4):102-112. DOI: 10.13300/j.cnki.hnlkxb.2025.04.010

      Abstract (140) HTML (47) PDF 0.00 Byte (466) Comment (0) Favorites

      Abstract:Peanut was used to rapidly and accurately obtain crop growth information including plant height and canopy width in the field.3D LiDAR perception technology was used to obtain the point cloud data of peanut in the field.A 3D point cloud model was constructed through registration, denoising, and other processing of the point cloud data.The point cloud plant segmentation method based on KD-TREE was used to segment the point cloud data of individual peanut plants.The convex hull algorithm was used to estimate plant volume and the rotating caliper method was used to extract plant height and maximum canopy width to obtain the growth information of peanut.Point cloud data of peanut plants at three different stages of growth were collected in a peanut planting area.The method proposed was used to carry out verification tests for the segmentation of individual peanut plant and the extraction of plant height and maximum canopy width.The accuracy of obtaining growth information was investigated.The accuracy of the results was evaluated with recall rate and precision rate.The results showed that the recall rate and precision rate of the segmentation of individual peanut plant in the field was over 85%, indicating that the method proposed has good accuracy and completeness for segmenting point cloud data of peanut in the field.The extracted parameters including plant height and maximum canopy width of peanut were compared with those of manual measurements.The average absolute percentage error of plant height and maximum canopy width at three different stages of growth was 6.271%, 4.368%, 4.986%, and 7.114%, 5.606%, 4.541%, with the root mean square error of 0.010, 0.015, 0.027 m, and 0.011, 0.020, 0.021 m, respectively.The linear regression determination coefficient of plant height and maximum canopy width was 0.888, 0.951, 0.842, and 0.934, 0.932, 0.927, respectively.It is indicated that the use of point cloud measurement can achieve high-precision and non-destructive extraction of phenotypic parameters for peanut in the field.It will provide important technical support for the cultivation and breeding of peanut.

      • 0+1
      • 1+1
      • 2+1
      • 3+1
      • 4+1
      • 5+1
      • 6+1
      • 7+1
      • 8+1
      • 9+1
      • 10+1
      • 11+1
      • 12+1
      • 13+1
      • 14+1
      • 15+1
      • 16+1
    • >Resources and environment
    • Effects of patterns of land use on stability of aggregates in soil in typical small watersheds in Danjiangkou Reservoir area

      2025, 44(4):113-121. DOI: 10.13300/j.cnki.hnlkxb.2025.04.011

      Abstract (138) HTML (55) PDF 0.00 Byte (473) Comment (0) Favorites

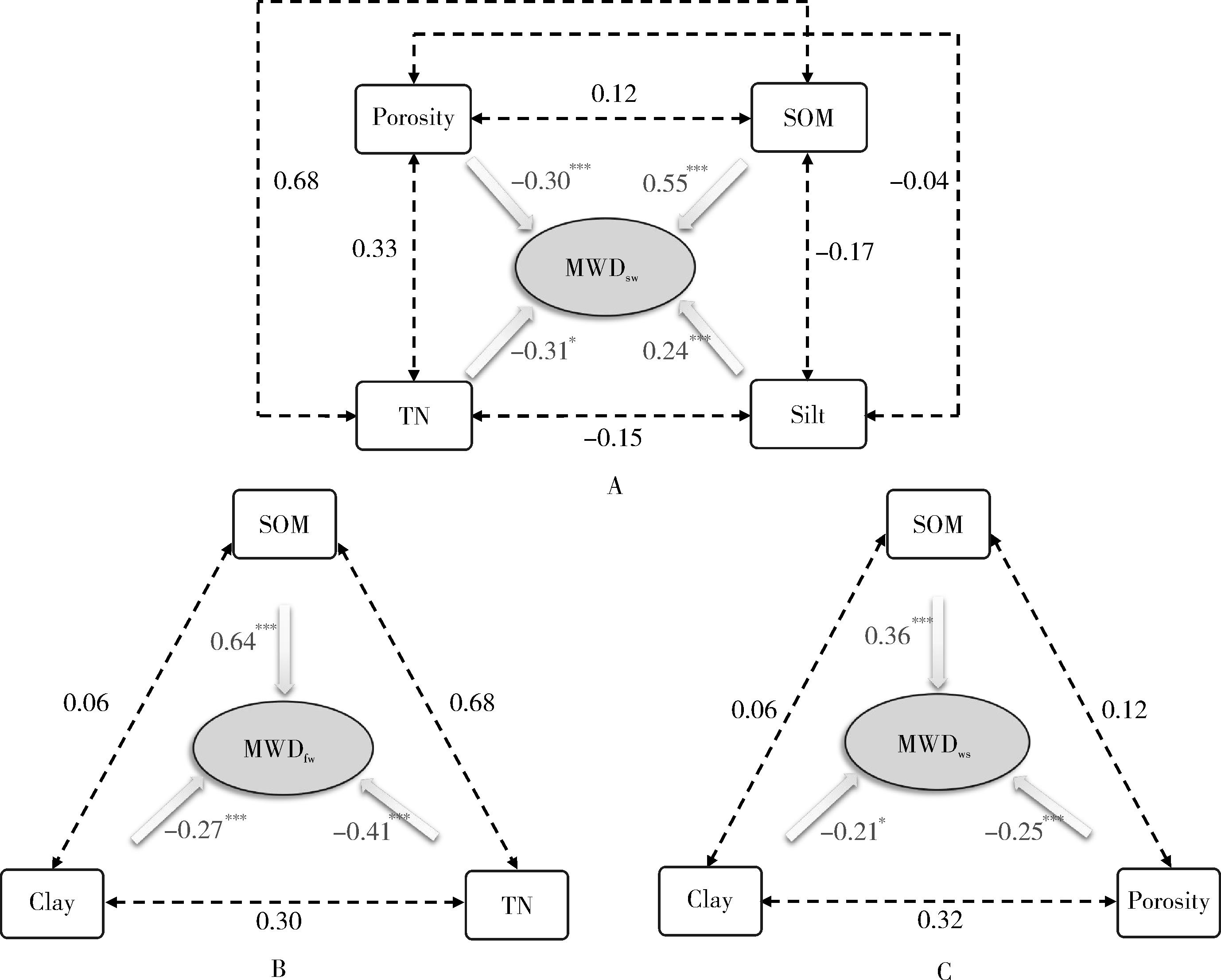
      Abstract:Soil erosion is a key driving factor leading to the degradation of soil quality, and the stability of aggregates in soil is an important indicator for measuring soil quality. Changes in patterns of land use may affect structural substances such as aggregates in soil and the physicochemical properties of soil related. Wulongchi watershed in Danjiangkou Reservoir area was used to study the effects of different patterns of land use including woodland, shrub land, slope farmland and terrace on the physicochemical properties of soil and the stability of aggregates in soil via field investigation, on-site sampling, and indoor analyses. The Le Bissonnais method was used to determine the stability of aggregates in soil. The results showed that there were significant differences in soil organic matter(SOM), total nitrogen(TN), clay, silt, and porosity among different patterns of land use(P<0.05). The content of SOM and TN in slope farmland was higher than that in terrace. Woodlands had the highest content of organic matter and the lowest content of total nitrogen, whereas shrub land showed the opposite trend. The content of clay and silt in soil in slope farmland and terrace was higher than that in soil in woodland and shrub land. There were significant differences in SOM, bulk density(BD) and porosity among soils with different depths(P<0.05). The porosity in soil in slope farmland and terrace was smaller than that in shrub land. SOM and Porosity decreased and BD increased with the increase in the depth of soil. The mean weight diameter(MWD) of aggregates in soil and structure stability index (SSI) of soil were significantly affected by the pattern of land use(P<0.05). SSI was in the decreasing order of woodland>shrub land>slope farmland>terraced, with SSI values all greater than 7%, indicating a low risk of structural degradation in soil. The MWDfw, MWDws and MWDsw of all samples was 0.28-2.20,0.83-2.44 and 0.41-2.30 mm, respectively. The stability of aggregates in soil in woodland was the highest, while the stability of aggregates in soil in terrace was the worst. The average weight diameter of aggregates in soil for the four patterns of land use among the three treatments of Le Bissonnais method was in the decreasing order of MWDws>MWDsw>MWDfw, indicating that the destruction of aggregates in soil in the studied area is mainly caused by dissipation. The results of path analysis showed that SOM had a significantly positive effect on the stability of aggregates in soil, with the highest path coefficient. TN had a significantly negative effect on the stability of aggregates in soil. Patterns of land use indirectly affected the stability of aggregates in soil mainly by affecting the SOM, TN, clay, poesity, and silt. It will provide reference for protecting the ecology and environment in the Danjiangkou Reservoir area and guaranteeing the safety of water quality in the water source area of South-to-North Water Diversion Project.

      • 0+1
      • 1+1
      • 2+1
      • 3+1
    • Effects of spraying nano-molybdenum fertilizer on growth and accumulation of nitrogen, phosphorus, and potassium in flue-cured tobacco

      2025, 44(4):122-132. DOI: 10.13300/j.cnki.hnlkxb.2025.04.012

      Abstract (139) HTML (56) PDF 0.00 Byte (483) Comment (0) Favorites

      Abstract:Yunyan 87 was used to study the differences in the effects of spraying ordinary molybdenum fertilizer and nano molybdenum fertilizer on the growth of tobacco and the accumulation of nitrogen-phosphorus-potassium in flue-cured tobacco.A pot experiment with five treatments including control (CK), ammonium molybdate (T1), nano molybdenum oxide (T2), nano zinc molybdate (T3), and nano potassium molybdate (T4) was conducted to analyze the agronomic traits, the accumulation of dry matter, the content of molybdenum, and the accumulation of nitrogen-phosphorus-potassium in tobacco.The results showed that both spraying ordinary molybdenum fertilizer and nano molybdenum fertilizer effectively increased the plant height, leaf length, leaf width, and the content of total sugar in tobacco leaves, but the effect of the treatment with nano molybdenum zinc sulfate was the best.The fresh weight and dry weight of tobacco leaves under nano molybdenum zinc sulfate treatment increased by 32.29% and 29.95% compared to that under T1.The accumulation of molybdenum in tobacco leaves under the T1, T2, T3, T4 increased by 18.48 times, 17.30 times, 11.72 times, and 16.70 times compared to that under the control.The accumulation of nitrogen-phosphorus-potassium in tobacco leaves tended to increase under molybdenum fertilizer treatments.The accumulation of nitrogen, phosphorus, and potassium in tobacco leaves under T3 increased by 30.61%, 39.94%, and 48.78% compared to that under the control, surpassing the increase of 18.86%, 28.79%, and 20.92% under T1.It is indicated that nano molybdenum fertilizer is more effective than ordinary molybdenum fertilizer in promoting the growth of tobacco seedlings and the absorption of nitrogen, phosphorus, and potassium, with nano zinc molybdate (T3) having the best performance.

      • 0+1
      • 1+1
      • 2+1
      • 3+1
      • 4+1
      • 5+1
      • 6+1
      • 7+1
    • Symbiotic nitrogen fixation of atpA gene in Mesorhizobium huakuii 7653R

      2025, 44(4):133-142. DOI: 10.13300/j.cnki.hnlkxb.2025.04.013

      Abstract (98) HTML (59) PDF 0.00 Byte (460) Comment (0) Favorites

      Abstract:The role of ABC transporter permease gene atpA in the symbiotic nitrogen fixation between Rhizobium and legumes in Mesorhizobium huakuii 7653R was studied. The atpA mutant strain HKatpA was constructed through homologous recombination. The functions of the mutant stain in the growth and symbiosis of Astragalus sinicus L. was studied. The results showed that the mutation in the atpA gene caused rhizobia to early enter a stable period and weaken its ability to form biofilm. The plants inoculated with the mutant strain had yellow leaves, and prominent symptoms of nitrogen deficiency, with their plant height, fresh weight of the above-ground parts, number of nodules, and the activity of nitrogen fixing enzyme decreased by 14.3%, 33.3%, 31.5%, and 18.8%, respectively. 78 differentially expressed proteins were identified with proteomics analysis. Compared with wild-type bacteroids, 23 proteins in atpA gene mutant bacteroids were up-regulated and 55 proteins were down-regulated. Among the differentially expressed proteins, 10 proteins were related to amino acid transport, and 12 proteins were related to nitrogen-fixing complex formation in nodules. It is indicated that the ABC transporter permease gene atpA in Mesorhizobium huakuii plays an important role in the process of growth and symbiosis with the host plant Astragalus sinicus L..

      • 0+1
      • 1+1
      • 2+1
      • 3+1
      • 4+1
      • 5+1
      • 6+1
      • 7+1
    • Isolation and identification of α-amylase producing bacteria and enzymatic characteristics of Ba8a protein

      2025, 44(4):143-149. DOI: 10.13300/j.cnki.hnlkxb.2025.04.014

      Abstract (100) HTML (51) PDF 0.00 Byte (439) Comment (0) Favorites

      Abstract:A high-yield strain of α-amylase, named as SCUEC8 strain, was isolated from fermented straw in bovine stomach with selective culture medium to solve the problem of decomposing crop straw. The strain isolated was identified as Bacillus subtilis based on the morphological observation and physiological and biochemical characteristics combined with comparative analysis of 16S rDNA sequence. The genomic DNA of SCUEC8 strain was used as template to amplify the ba8a gene of α-amylase by PCR. The recombinant plasmid pET28a (+)-ba8a was constructed and transformed into the E. coli BL21 strain for heterologous expression to further analyze the enzymatic characteristics of Ba8a protein expressed. The results showed that the length of ba8a gene was 1 434 bp, and the molecular weight of the Ba8a protein was 52.9 ku. The relative enzyme activity of Ba8a protein was relatively high with pH 5.0 and a reaction temperature of 45 ℃. Mn2+ had a higher effect on promoting the enzyme activity of Ba8a protein, while Cu2+ had a higher effect on inhibiting the enzyme activity of Ba8a protein. Ba8a protein was relatively stable at pH 6.0 and temperature 0 ℃. It is indicated that the Bacillus subtilis SCUEC8 strain has the activity of α-amylase, which helps to improve the degradation rate of crop straw.

      • 0+1
      • 1+1
      • 2+1
      • 3+1
    • >Plant protection
    • Analysis of endogenous hormone content in sugarcane leaves infected by Fusarium verticillioides based on HPLC

      2025, 44(4):150-159. DOI: 10.13300/j.cnki.hnlkxb.2025.04.015

      Abstract (102) HTML (63) PDF 0.00 Byte (433) Comment (0) Favorites

      Abstract:To clarify the relationship between endogenous hormones and resistance to sugarcane pokkah boeng disease,this study utilized Fusarium verticillioides,the primary pathogenic fungus of sugarcane pokkah boeng disease in China,as the pathogen,and employed the highly resistant cultivar YT94-128 (Yuetan 94-128) and the susceptible cultivar GT37 (Guangxi Tang 37) as experimental materials. High-performance liquid chromatography (HPLC) was applied to detect the dynamic changes of five endogenous hormones in sugarcane leaves following pathogen inoculation. The results demonstrated that the HPLC method achieved average recovery rates of 99.61%,99.12%,97.36%,96.74%,and 99.90% for gibberellin (GA),jasmonic acid (JA),citric acid (CA),malic acid (MA)and salicylic acid (SA) in sugarcane leaves,respectively.The precision,indicated by relative standard deviation (RSD) values,ranged from 0.033% to 4.220%,highlighting the method’s rapid analysis,high resolution,and excellent stability and reproducibility. Post-inoculation analysis revealed distinct hormonal patterns: GA content progressively decreased in both cultivars during sugarcane growth,with a more pronounced reduction in GT37. JA content initially increased before decling,showing a greater reduction amplitude in GT37. CA content continuously increased in YT94-128 but significantly decreased in GT37. MA content steadily rose and stabilized in YT94-128,whereas GT37 exhibited a peak at 4 days post-inoculation,followed by a stabilization. SA content in both cultivars displayed an initial increase followed by a decline,with more marked fluctuations in YT94-128. This study demonstrates that the differential concentrations and dynamic patterns of endogenous hormones following pathogen infection may serve as critical indicators for assessing varietal resistance to sugarcane pokkah boeng disease.

      • 0+1
      • 1+1
      • 2+1
      • 3+1
    • Detection and species analysis of RNA mycoviruses in four types of edible mushrooms

      2025, 44(4):160-173. DOI: 10.13300/j.cnki.hnlkxb.2025.04.016

      Abstract (104) HTML (53) PDF 0.00 Byte (459) Comment (0) Favorites

      Abstract:To clarify the types of viruses present in various edible mushrooms during production, high-throughput sequencing technology was employed to detect fungal viruses in 53 strains of Pleurotus spp., 10 strains of Ganoderma spp., 17 strains of Flammulina filiformis, and 12 strains of Coprinus comatus.PCR amplification and sequence analysis were performed on newly identified potential viruses, and phylogenetic tree analyses were conducted based on sequence comparisons.BLASTx sequence alignment results indicated that a total of 51 contigs were annotated as 41 viruses detected from 92 strains of four types of edible mushrooms.Thirteen potential novel viruses were identified through RT-PCR amplification and sequence analysis, including seven species found in Pleurotus spp., three species in Coprinus comatus, one species in Flammulina filiformis, and two species in Ganoderma spp..Phylogenetic analyses showed that these viruses belong to +ssRNA viruses, -ssRNA viruses, and dsRNA viruses, distributed across wight viral families: BarnaviridaeBotourmiaviridaeDeltaflexiviridaeMymonaviridae PartitiviridaePhenuiviridae, Phlegiviridae, and an unclassified member of the order Bunyavirales.In conclusion, there is a relatively abundant presence of fungal viruses in the four types of edible mushrooms.

      • 0+1
      • 1+1
      • 2+1
      • 3+1
      • 4+1
      • 5+1
      • 6+1
      • 7+1
      • 8+1
    • Laboratory screening of dimefluthrin-resistant strains of Aedes albopictus and analysis of hereditary modes of resistance

      2025, 44(4):174-180. DOI: 10.13300/j.cnki.hnlkxb.2025.04.017

      Abstract (116) HTML (46) PDF 0.00 Byte (423) Comment (0) Favorites

      Abstract:To clarify the resistance level to dimefluthrin in Aedes albopictus and to select a strain that is resistant to dimefluthrin,the mechanisms and genetics of the resistance should be studied. Cross and backcross tests were conducted to caculate the 95% confidence interval for the degree of dominance in the two hybrid populations. Additionally,the actual and expected curves of the four groups of backcross offspring were observed,and the actual and expected chi-square values of the four groups of backcross offspring were calculated to determine the degree of dominance (D),identify cytoplasmic influencing factors,and elucidate the genes associated with the heredity of the dimefluthrin-resistant population of A. albopictus. The results indicated that the resistance frequency in the FRS population is close to that of the resistant strain (RR),while the sensitivity of the FSR population is notebly high. The FRS and FSR populations did not overlap,indicating a significant difference between the FRS and FSR hybrids. Furthermore,the actual response of the LD-P line for BC1 (FSR♀×SS♂),BC2 (FRS♀×SS♂),BC3 (FSR♀×RR♂) and BC4 (FRS♀×RR♂) differed from the expected response of the LD-P line,with the actual Chi-square value (χ2) being significantly greater than the expected Chi-square value. Therefore,the inheritance of resistance to dimefluthrin in A. albopictus is polygenic and exhibits maternal effect,which can lead to the rapid development of resistant populations. When using dimefluthrin to control A. albopictus,it is essential to consider several factors that may negatively impact insecticidal efficacy and contribute to the development of resistance. These factors include dosage,application methods and the timing of insecticide use. Different mosquitoes species may have different hereditary modes of resistance to different insecticides,therefore,it is crucial to monitor the development and application of insecticides carefully.

      • 0+1
      • 1+1
      • 2+1
      • 3+1
      • 4+1
    • EMD-YOLO: an improved lightweight algorithm for detecting diseases in crop leaf based on YOLOv8n

      2025, 44(4):181-191. DOI: 10.13300/j.cnki.hnlkxb.2025.04.018

      Abstract (141) HTML (32) PDF 0.00 Byte (465) Comment (0) Favorites

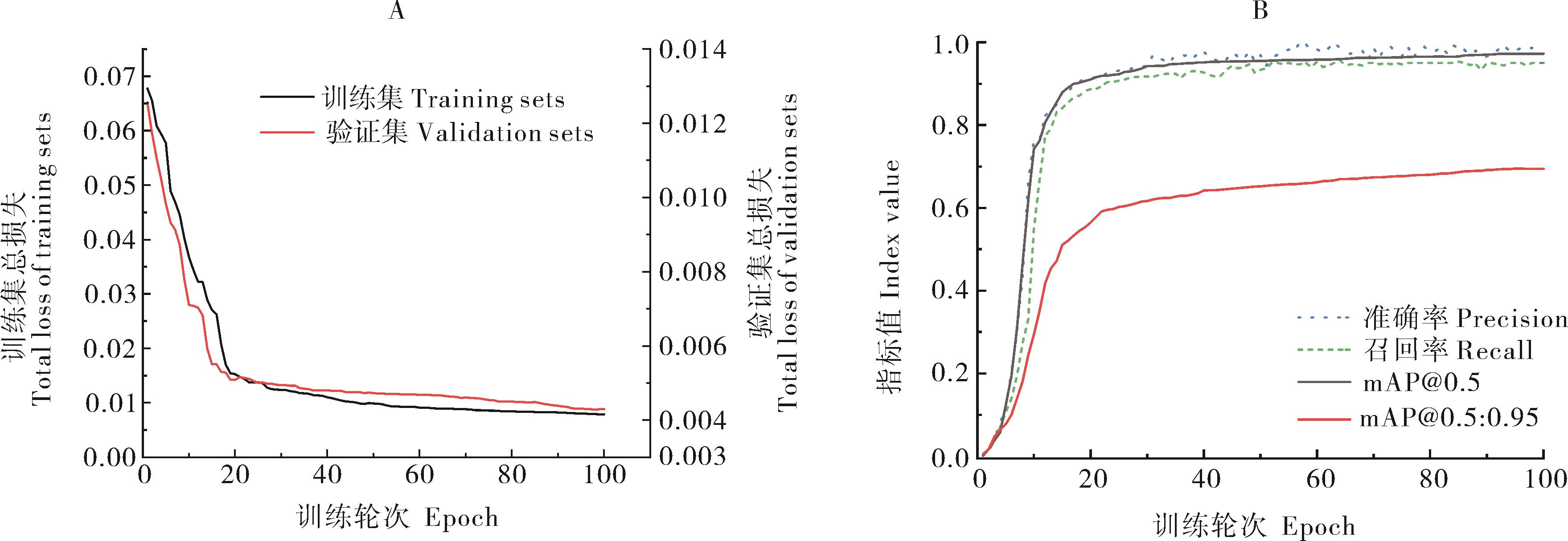
      Abstract:A novel lightweight algorithm for detecting diseases in crop leaf based on YOLOv8n,EMD-YOLO was proposed to accurately and rapidly identify diseases,reduce costs of manual diagnosis,and minimize the impact of leaf diseases on the production and quality of crops.The algorithm integrated the multi-scale dilated attention (MSDA),EffectiveSE attention mechanism,DySample upsampling,and Wise-IoU loss function.MSDA was combined with multi-scale spatial convolution and attention mechanisms to increase the efficiency of extracting multi-scale feature,while EffectiveSE strengthened the selection of feature and improved the representation performance of model.DySample upsampling preserved important features to enhance the map resolution of feature and the detection performance.Wise-IoU loss function optimized intersection over union (IoU) computation to improve the localization accuracy of model.The results showed that the accuracy,mAP@0.5,and weight of EMD-YOLO was 96.3%,92.8%,and 4.85 MB,respectively.The accuracy and mAP@0.5 of YOLOv8n increased by 3.0 and 3.6 percentage points compared with that of the baseline model YOLOv8n,respectively,while the weight decreased by 1.4 MB.It is indicated that EMD-YOLO has good generalization and is suitable for detecting diseases in crop leaf with mobile devices.

      • 0+1
      • 1+1
      • 2+1
      • 3+1
      • 4+1
    • Lightweighted identification of weed in field based on optimized MobileViT model

      2025, 44(4):192-203. DOI: 10.13300/j.cnki.hnlkxb.2025.04.019

      Abstract (90) HTML (38) PDF 0.00 Byte (447) Comment (0) Favorites

      Abstract:A lightweighted method based on the optimized MobileViT model was proposed to solve the challenges in identifying weeds from crop seedlings in agricultural environments.SimAM attention mechanism was introduced to enhance the model's ability to pay attention to features.SCConv convolution module was used to reduce the spatial and channel redundancy of features in convolutional neural networks to lower computational costs and model storage, while improving the performance of the convolution module.A loss function strategy combining Label Smoothing Loss and Cross Entropy Loss was proposed to improve the generalization performance of the model, reduce the risk of overfitting, and accelerate the convergence process of the model.Images of 12 common crop seedlings and weeds in the field were used as the training dataset to evaluate the performance of the improved model MobileViT-SS.The results showed that the average recognition accuracy, precision, recall rate, and the F1 score of the improved model reached 95.91%, 95.97%, 95.46%, and 95.69%, respectively, all of which were superior to that in the widely used deep neural network models including VGG-16, ResNet-18, and MobileNetv3.It is indicated that the improved model MobileViT-SS can accurately and quickly distinguish various weeds from crop seedlings with similar morphology.It will provide technical reference for the identification of weeds from crop seedlings with similar morphology.

      • 0+1
      • 1+1
      • 2+1
      • 3+1
      • 4+1
      • 5+1
      • 6+1
      • 7+1
      • 8+1
      • 9+1
      • 10+1
    • >Animal science·Veterinary medicine
    • Survey on status of plankton and fish resources in Enshi Section of Qingjiang River Basin

      2025, 44(4):204-219. DOI: 10.13300/j.cnki.hnlkxb.2025.04.020

      Abstract (125) HTML (46) PDF 0.00 Byte (431) Comment (0) Favorites

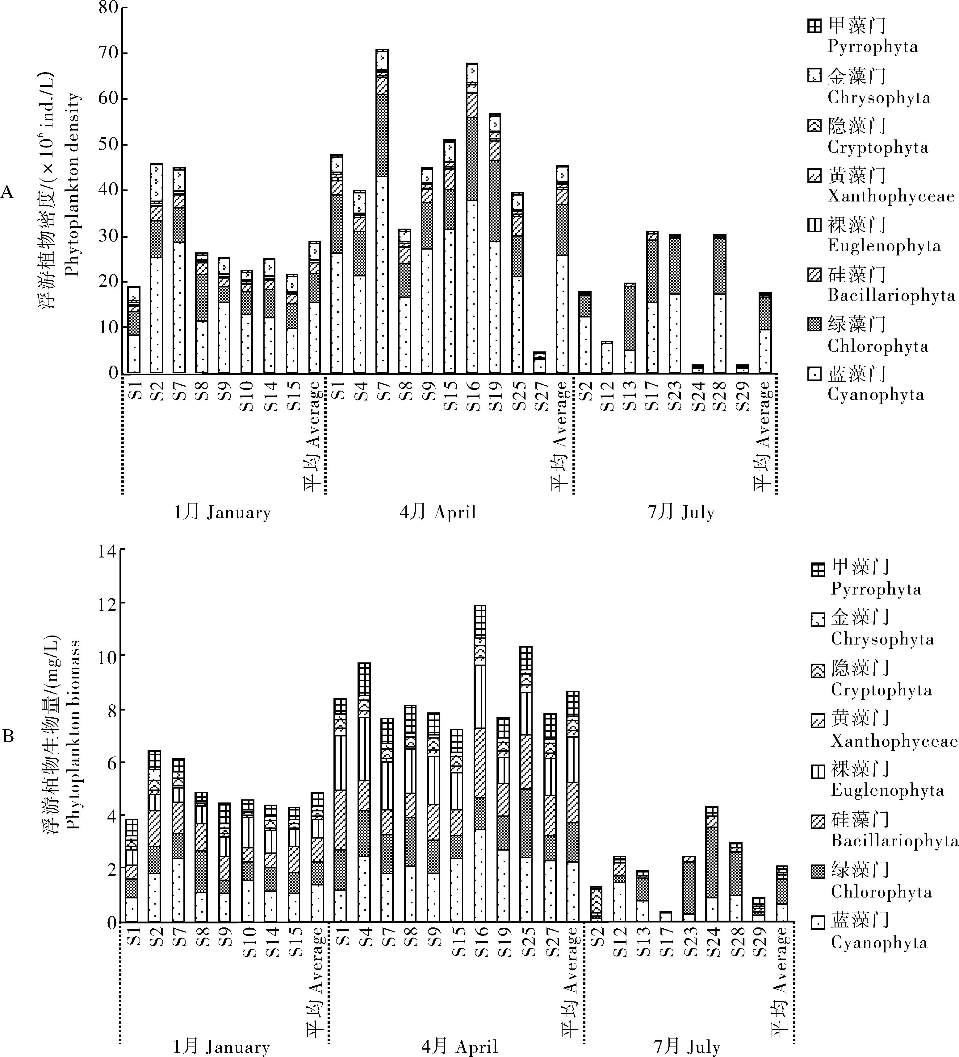
      Abstract:To assess the current status of plankton and fish resources in the Enshi Section of the Qingjiang River Basin, surveys and analyses of aquatic biological resources such as phytoplankton, zooplankton, and fish were carried out in January, April, and July 2023 in the mainstem of the Enshi Section of the Qingjiang River Basin and its tributaries, which include the Changpian River, Xiaoxi River, Zhongjian River, and Mashui River.A total of 100 species (including varieties) of phytoplankton were identified in 8 phyla, with 28 species belonging to the Chlorophyta and 19 species classified as dominant within the Cyanophyta.The species diversity, density, and biomass of phytoplankton showed an upward trend.Zooplankton were categorized into 4 groups, comprising 40 families and 55 genera, with 25 genera of Protozoa identified as the most aboundant.Three species of zooplankton were found to be dominant, all belonging to the Protozoa.Although the number of zooplankton species increased, there were no significant changes in density or biomass.A total of 51 species of fish were collected, classified into 3 orders, 11 families, and 44 genera, with the Cypriniformes representing the largest number of species at 39.The dominant fish species included Rhynchocypris oxycephalusPseudorasbora parvaOpsariichthys bidens and Hemiculter leucisculus.The number of fish species in the Enshi Section of the Qingjiang River Basin decreased significantly compared to the historical data from 1987 and 1990, which recorded a total of 122 species.However, there has been an increase in species diversity compared to the survey data from 2020 to 2022, which identified 44 species.Fish in the Enshi Section of the Qingjiang River Basin tend to be miniaturized and exhibit low biodiversity.Rare fish species such as Rhinogobio ventralis and Spinibarbus sinensis, which produce drifting eggs, are in serious decline, but the population of rare fish that primarily produce adhesive eggs, such as Schizothorax davidiEuchiloglanis david, and Procypris rabaudi, as well as economiclly important fish like Cultrichthys erythropterus, have shown signs of recovery.These changes are mainly related to the changes in hydrological conditions resulting from the development and construction of large-scale water conservancy projects.It is recommended that the habitat of stickleback egg-laying fishes, such as Schizothorax davidi, be protected and restored.Additionally, we recommend the regular implementation of artificial enhancement and the release of fishes species such as R. ventralisS. sinensisHypophthalmichthys molitrix, and Aristichthys nobilis.These methods aim to improve aquatic biodiversity in the Enshi Section of the Qingjiang River Basin.

      • 0+1
      • 1+1
      • 2+1
      • 3+1
      • 4+1
    • Progress on effects of gut microbiota on semen quality and reproduction performance of animals

      2025, 44(4):220-228. DOI: 10.13300/j.cnki.hnlkxb.2025.04.021

      Abstract (105) HTML (76) PDF 0.00 Byte (425) Comment (0) Favorites

      Abstract:In animal husbandry production, the reproductive performance of animals directly affects economic benefits. Improving the semen quality and reproductive performance of breeding livestock is of great significance for accelerating breed improvement and enhancing breeding benefits.There is a complex dynamic balance between gut microbiota and male hosts. Gut microbiota can interact with the local intestinal tract of the host to affect the physiological functions of distal organs including testes, kidneys, and accessory sex glands, thereby regulating the semen quality of the host. This article reviewed the mechanism by which gut microbiota affects the semen quality and reproduction performance of male animals, using the ‘gut-testis axis’ as the theoretical framework. The semen quality is affected by regulating metabolic substrates including short-chain fatty acids, amino acids, and vitamins and androgen metabolism. The reproduction performance of males is regulated by releasing signal molecules including 5-hydroxytryptamine, gamma-aminobutyric acid, nitric oxide and hydrogen sulfide. The studies in the future should focus on analyzing how gut microbiota maintains intestinal homeostasis to regulate the semen quality of animal, and developing composite microbial preparations for regulating reproductive function of male animals to promote the development of efficient breeding in animal husbandry. It will provide a new perspective for understanding the complex relationship between gut microbiota and reproductive health of male animals, and offer a theoretical basis for improving the semen quality of male animals by regulating the colony ecology of gut microbiota.

      • 0+1
    • Medication pattern of traditional Chinese medicine for treating piglet diarrhea based on cyberpharmacology

      2025, 44(4):229-238. DOI: 10.13300/j.cnki.hnlkxb.2025.04.022

      Abstract (116) HTML (66) PDF 0.00 Byte (444) Comment (0) Favorites

      Abstract:The prescriptions of traditional Chinese medicine (TCM) compound related to the treatment of piglet diarrhea were collected from CNKI,WanfangData,VP Database and ancient books,and the medication pattern of medication frequency,medicinal properties,medicinal flavors,categorization,medicinal pairs,and association rules was analyzed with Python and SPSS to mine data to study the medication pattern and mechanism of TCM in the treatment of piglet diarrhea.The core pairs of drugs were analyzed with cyber-pharmacology.The components and targets were extracted with TCMSP database and Swiss ADME platform.The intersection targets were analyzed by protein interaction analysis with STRING database.The mediators of targets were obtained with Network Analyze of Cytoscape 3.9.1 software.The GO and KEGG enrichment of the targets were analyzed with webgestalt database.The results showed that there were 19 medicines with a frequency of ≥5 used in TCM for the treatment of piglet diarrhea,among which the medicine with high-frequency was Poria cocosCoptis chinensisAtractylodes macrocephalaCodonopsis pilosula,Tangerine peel and Astragalus membranaceus. 38.13% medicines are warm medicinal properties.33.21% and 33.03% medicines are mainly sweet and bitter medicinal flavor,with the spleen (22.94%),stomach (18.07%),and lungs (13.67%) being the main meridians.The drug pairs with high-frequency are Codonopsis pilosulaeAtractylodes macrocephala and Poria cocos,with the frequency of more than 10 times,and the combination is closely associated.A combination involving 22 active ingredients and 672 targets was obtained with screening and deduplication.The results of GO analysis showed that 12 targets related to biological processes,21 targets related to cellular components,and 18 targets related to molecular functions,involving 10 KEGG pathways.It is indicated that most of the drugs used in the treatment of piglet diarrhea are heat-clearing,food-eliminating and tonic drugs,and the core pairs of medicine are represented by Codonopsis pilosulaeAtractylodes macrocephala and Poria cocos,with active ingredients acting on the inflammation-related targets including ALB,AKT1 and TP53,and participating in the pathways of MAPK,Ras and cAMP to exert the antidiarrheal effect.

      • 0+1
      • 1+1
    • GWAS-based screening of candidate genes and pathways for anti-diarrhea in suckling piglets

      2025, 44(4):239-247. DOI: 10.13300/j.cnki.hnlkxb.2025.04.023

      Abstract (99) HTML (51) PDF 0.00 Byte (448) Comment (0) Favorites

      Abstract:640 piglets with diarrhea were sampled and statistically analyzed to study the genetic factors and pathways for anti-diarrhea in suckling piglets.600 samples including 453 large white pigs,105 landrace pigs and 42 Duroc pigs were selected for the low depth resequencing (1×).Genome-wide association study(GWAS) was conducted after the quality control of the results of sequencing.42 and 107 significant SNPs were screened in large white pigs and landrace and pigs,respectively,with 32 and 82 genes involved at the upstream and downstream 20 kb regions of these loci.GO and KEGG enrichment analysis was performed on these genes.The results showed that 6 important candidate genes including PLA2G4A,C1RL,PTPN6,C1R,PPP1R12A,and GRID2 and 8 important candidate genes including DAPK1,TMC8,ITM2C,CHMP4B,CAST,PDE4D,HSPA4,and GRID2 that may be associated with diarrhea traits in suckling piglets were identified,with GRID2 being screened simultaneously in both large white pigs and landrace pigs.It is indicated that candidate genes for diarrhea in piglets are associated with functions related to cell apoptosis,immunity,cell barrier,and transmembrane transport of substances.

      • 0+1
      • 1+1
      • 2+1
      • 3+1
      • 4+1
      • 5+1
    • >Food science and agricultural engineering
    • Optimizing path of sparse planting and transplanting plug seedlings based on genetic-ant colony interactive algorithms

      2025, 44(4):248-258. DOI: 10.13300/j.cnki.hnlkxb.2025.04.024

      Abstract (87) HTML (35) PDF 0.00 Byte (458) Comment (0) Favorites

      Abstract:The ant colony-genetic optimization algorithm(ACGO) and genetic-ant colony optimization algorithm(GACO) interactive algorithms based on genetic algorithm and ant colony algorithm was proposed to optimize the path of sparse planting transplanting to solve the problem of low efficiency in planning the path of transplanting plug seedlings to low-density plug trays. The fixed sequence method and five other algorithms were used to calculate the length of transplanting path for plug trays with holes from 72-32,72-50,128-50, and 128-32 holes through simulation experiments. Comparative analyses were conducted on the performance of algorithms in optimizing the length of transplanting path and the time of calculation. The stability of the algorithm was evaluated by the relative standard deviation. The results showed that the GACO algorithm reduced the average length of path in transplanting plug tray with 72 to 32 holes by 59.3% compared with the fixed sequence method, with an average time of calculation of 5.15 seconds and a relative standard deviation of approximately 1.5%. The ACGO algorithm reduced the average length of path by 19.2%, with an average time of calculation of 13.50 seconds and a relative standard deviation of approximately 1%. The results of further studies showed that the optimization effect of ACGO algorithm in the scenarios of transplanting from 200 holes to 72 holes and 105 holes was weaker than that of greedy algorithm, while GACO algorithm had higher universality and stability under different combinations of hole numbers and numbers of missed seedling. It is indicated that both interactive algorithms have improved the performance of the original algorithm, but the GACO algorithm performs better in dealing with problems in planning path of complex sparse planting and transplanting plug seedlings. It will provide a strong reference basis for optimizing the path of sparse planting and transplanting plug seedlings.

      • 0+1
      • 1+1
      • 2+1
      • 3+1
      • 4+1
      • 5+1
      • 6+1
      • 7+1
      • 8+1
    • Plate-and-frame pressured filtration of sediment sludge from solid liquid separator in mode of pond captive farming

      2025, 44(4):259-268. DOI: 10.13300/j.cnki.hnlkxb.2025.04.025

      Abstract (72) HTML (51) PDF 0.00 Byte (421) Comment (0) Favorites

      Abstract:The method of “coagulation+plate and frame filtration” was used to conduct dehydration experiments to solve the problem of difficulty in handling high moisture in the sediment sludge from the solid liquid separator in the mode of pond captive farming. Experiments on coagulation of sludge were conducted with types and dosage of three inorganic coagulants including polyaluminum sulfate(PAS), poly silicate aluminum ferric(PSAF), and poly ferric sulfate(PFS) as experimental factors, and the specific resistance of sludge and pollution properties of sludge filtrate as experimental indexes. Experiments on the dehydration of sediment sludge with plate and frame pressured filtration were conducted with the type of filter cloth, the optimal dosage of the selected coagulant, the pressure of filtration and the time of holding pressure as experimental factors, and the dehydration rate of sludge and pollution properties of filtrate as experimental indexes. The results showed that PAS, PSAF, and PFS all had significant effects on conditioning sludge. When the dosage of PSAF was 2% of the dry matter mass of sludge, the effect was optimal. At this time, the specific resistance of sludge was reduced by 97.43%, to 2.08×1012 m/kg, with the Nemerow index of the filtrate of 3.61. Plate and frame pressured filtration had good performance of dehydration on the sludge conditioned with PSAF. The dehydration effect of sediment sludge with plate and frame pressured filtration was good, with the moisture in sludge reduced to 70.98%, the dehydration rate reaching 80.94%, and the Nemerow index in the filtrate being 4.54 when the filter cloth was made of polyester 621, the dosage of PSAF was 2% of the dry matter mass of sludge, the pressure of filtration was 0.3 MPa, and the time of holding pressure was 10 minutes. It is indicated that the approach of plate and frame pressured filtration after PSAF conditioning can be used as an effective dehydration technique for sediment sludge in the mode of pond captive farming to achieve the goal of reducing the volume of sludge to be convenient for transportation and storage.

      • 0+1
      • 1+1
      • 2+1
    • Cooperatively controlling sinking and floating of mariculture cages

      2025, 44(4):269-279. DOI: 10.13300/j.cnki.hnlkxb.2025.04.026

      Abstract (105) HTML (20) PDF 0.00 Byte (434) Comment (0) Favorites

      Abstract:The control of sinking and floating is an important means to improve the quality of mariculture cages and ensure the safety of aquaculture. However, it is difficult to achieve the accurate control of sinking and floating due to multiple factors including the complex conditions of sea and uneven loads. Modeling and strategies for coordinated control were studied to solve the problem of controlling the sinking and floating of mariculture cages. A dynamic model of sinking and floating was established based on analyzing the characteristics of the structure of cages, actuator, and other objects. A dual closed-loop master-slave strategy for cooperatively controlling the floating of cages was proposed based on the principle of parallel drive. The outer loop implemented collaborative water inflow planning of multi-ballast tanks based on PID master-slave synchronization strategy. An efficient water inlet controller was designed for the inner loop based on fuzzy sliding mode control and Lyapunov theory. The water inlet control algorithm of the ballast tank and the scheme of cooperatively controlling the sinking and floating of cages were verified by digitally simulating the multiple conditions of working. The results showed that the control algorithm proposed achieved efficient water inflow control of ballast tanks and coordinated control of sinking and floating with high-precision under different disturbances of wave. It will provide technical support for the practical applications of the coordinated control of sinking and floating of mariculture cages.

      • 0+1
      • 1+1
      • 2+1
      • 3+1
      • 4+1
      • 5+1
      • 6+1
      • 7+1
      • 8+1
    • Mechanical properties of compression in Zizania latifolia

      2025, 44(4):280-287. DOI: 10.13300/j.cnki.hnlkxb.2025.04.027

      Abstract (104) HTML (46) PDF 0.00 Byte (442) Comment (0) Favorites

      Abstract:The properties of Zizania latifolia materials were studied to solve the problems of lacking theoretical basis in the design and simulation analysis of mechanical equipment for processing and harvesting Zizania latifolia. A texture analyzer was used to conduct static load compression experiments on Zizania latifolia to obtain the stiffness, failure strength, and elastic modulus of Zizania latifolia under different directions of compression and compression rates. A scanning electron microscope(SEM) was used to obtain the microstructure of Zizania latifolia and analyze the intrinsic mechanism of the differences in the mechanical properties of Zizania latifolia under different directions of compression. The results showed that Zizania latifolia was anisotropic material, with the average stiffness values in the XY and Z axis of 37.88, 36.66 and 50.82 N/mm, respectively. The average failure strength were 0.74 MPa, 0.72 MPa, 0.88 MPa, respectively. The average modulus of elasticity was 1.73 MPa, 1.61 MPa, 2.33 MPa, respectively. The direction of compression had an extremely significant effect on the stiffness, elastic modulus and failure strength of Zizania latifoliaP<0.001). The effect of compression rate on stiffness, elastic modulus, and failure strength within the range of 30-70 mm/min was not significant (P>0.05). The microstructural features in the X-axis and Y-axis directions were similar but different from those in the Z-axis direction. The distribution of pores along the X-axis and Y-axis directions resulted in the smaller values of mechanical properties of compression in these two directions. It will provide theoretical reference for the packing, storage and mechanized production of Zizania latifolia.

      • 0+1
      • 1+1
      • 2+1
      • 3+1
      • 4+1
    • Improved YOLOv7 based facial detection of tractor drivers in complex environments

      2025, 44(4):288-301. DOI: 10.13300/j.cnki.hnlkxb.2025.04.028

      Abstract (113) HTML (55) PDF 0.00 Byte (491) Comment (0) Favorites

      Abstract:A high-precision and highly generalized method of detecting facial small object of driver based on YOLOv7 algorithm was proposed to address the issues of falsely detecting facial small target and the low accuracy of detection caused by vibration and background occlusion for tractor drivers in complex environments of agriculture.An improved spatial pyramid pooling module AS_SPPFCSPC was used to replace SPPCSPC to effectively aggregate low-frequency global information and high-frequency local information to enhance the accuracy of facial localization for drivers.The cross-level partial network module VoVGSDCSP was used to replace the E-ELAN module in the neck network to achieve higher computational efficiency of the algorithm.The structure of detection layer was adjusted and a new detection head SC_C_detect was introduced to improve the ability to extract small target features.The results of ablation and comparative experiments showed that the improved algorithm had a single-image detection time of 7.8 ms, with mAP@0.5 at 97.29% and mAP@0.5:0.95 at 69.45%, superior to object detection algorithms including Faster RCNN, YOLOv5l, and YOLOv8l.The results of generalization experiments conducted on tractors at levels of different vibration showed that the background error and localization error of the facial small target detection model after improvement were effectively reduced.It is indicated that the algorithm proposed combines real-time and accuracy, with good generalization performance at different levels of vibration.

      • 0+1
      • 1+1
      • 2+1
      • 3+1
      • 4+1
      • 5+1
      • 6+1
      • 7+1
      • 8+1
    • U-net based method for extracting phenotypes in shiitake mushrooms

      2025, 44(4):302-309. DOI: 10.13300/j.cnki.hnlkxb.2025.04.029

      Abstract (116) HTML (52) PDF 0.00 Byte (474) Comment (0) Favorites

      Abstract:A U-net based method for extracting the phenotypes of shiitake mushrooms was proposed to solve the problems of the low level of informatization and the time-consuming and laborious manual measurement of phenotypes in shiitake mushroom. U-net based segmentation of caps, stipes, and left and right gills in shiitake mushroom was achieved by collecting the cross-sectional images of shiitake mushrooms and establishing a dataset. The results showed that the average intersection to union ratio and average pixel accuracy of the model was 85.00% and 91.25%, respectively. The automatic measurement of five parameters for phenotypes in shiitake mushrooms including the cap diameter, cap thickness, stipe length, stipe diameter, and gill width was achieved by combining the centroid method with the minimum bounding rectangle method. The method proposed had mean absolute percentage error (MAPE)of 1.57%, 5.01%, 2.57%, 5.47%, and 2.74% in measuring the cap diameter, cap thickness, stem length, stem diameter, and gill width, with the root mean square error(RMSE) of 0.12 cm, 0.08 cm, 0.09 cm, 0.10 cm, 0.06 cm and all determination coefficients(R2) exceeding 0.90 compared with manual measurements. It is indicated that the U-net based method for extracting the phenotypes in shiitake mushrooms is suitable for measuring phenotypes in shiitake mushrooms with a high accuracy of segmentation. It will provide strong technical support for the sorting and grading of shiitake mushrooms.

      • 0+1
      • 1+1
      • 2+1
      • 3+1
      • 4+1
      • 5+1
      • 6+1
      • 7+1
      • 8+1
    • >Techneques and methods
    • Rapid detection of 11 common pesticide residues in bananas with double-swab solid-phase microextraction combined with UPLC-MS/MS

      2025, 44(4):310-317. DOI: 10.13300/j.cnki.hnlkxb.2025.04.030

      Abstract (86) HTML (39) PDF 0.00 Byte (419) Comment (0) Favorites

      Abstract:A rapid and accurate method for detecting 11 common pesticide residues in bananas was established with solid-phase microextraction combined with ultra-high performance liquid chromatography tandem mass spectrometry (SPME-UPLC-MS/MS) to simplify the steps of detecting multi-pesticide residues in bananas, shorten the time of detection, and reduce the cost of detection. Swabs were used as support carriers to prepare the double extraction heads with broad-spectrum and large-capacity. The pesticides were extracted from diluted banana homogenate samples with the double extraction heads. Trace amounts of methanol were used to desorb pesticides from the heads, followed by detection with SPME-UPLC-MS/MS and quantification with method of matrix-matched external standard. The results showed that the limit of detection of 11 pesticides in bananas was 0.23-2.43 μg/kg, with the limit of quantification of 0.68-7.36 μg/kg. The rate of recovery at different spiked levels was 86.2%-109.8%, with a relative standard deviation of 0.6%-11.2%, which complies with the relevant regulations of detecting pesticide residues. It is indicated that the established method is simple, rapid, sensitive, accurate, and cost-low, and can meet the requirements for rapid detection of multi-pesticide residues in bananas.

      • 0+1
      • 1+1
      • 2+1
      • 3+1
      • 4+1
      • 5+1
    • Accurate and interference-free SERS detection of Ag+ based on functionalized gold nanoparticles

      2025, 44(4):318-324. DOI: 10.13300/j.cnki.hnlkxb.2025.04.031

      Abstract (103) HTML (84) PDF 0.00 Byte (419) Comment (0) Favorites

      Abstract:The silver ion(Ag+) poses serious threats on the environment and the health for human. Therefore, the accurate and interference-free detection of Ag+ is of great scientific significance with practical value of application. The surface-enhanced Raman spectroscopy(SERS) sensing detection technology based on functionalized gold nanoparticles was established to realize the accurate and interference free detection of Ag+. When Ag+ was present, adjacent gold nanoparticles were connected and underwent controlled aggregation to form a chain-like structure based on the coordination effect between Ag+ and cyanogroup(-CN) in merhydryl benzonitrile(MBN) modified on the surface of gold nanoparticles, generating a “hotspot” effect. The SERS signal of MBN at 2 228 cm-1 in the biological “silent zone” was enhanced, and the degree of enhancement increased with the increase of the concentration of Ag+. The results showed that the SERS sensing technology established for detecting Ag+ had a good linear relationship in the concentration interval of 0.1 nmol/L and 100 nmol/L. The minimum detectable concentration of Ag+ was 0.1 nmol/L, much lower than the limit requirement of the US Environmental Protection Agency that the concentration of Ag+ in drinking water should be less than 0.93 μmol/L. The detection with Ag+ spiked recovery was performed in actual water samples, with a recovery rate ranged from 99.7% to 101.4%.

      • 0+1
      • 1+1
      • 2+1
      • 3+1
      • 4+1

Current Issue


Volume , No.

Table of Contents

Archive

Volume

Issue

Most Read

Most Cited

Most Downloaded