• Volume 44,Issue 5,2025 Table of Contents
    Select All
    Display Type: |
    • >作物耐瘠抗逆的精准评价与品种筛选
    • Screening of nitrogen efficient rice varieties mainly planted in middle and lower reaches of Yangtze River and their physiological and biochemical characteristics

      2025, 44(5):1-12. DOI: 10.13300/j.cnki.hnlkxb.2025.05.001

      Abstract (35) HTML (3) PDF 2.63 M (109) Comment (0) Favorites

      Abstract:57 rice varieties mainly planted in the middle and lower reaches of Yangtze River were used to study the physiological and biochemical characteristics of nitrogen efficient rice varieties mainly planted in this region.Hydroponic culture was conducted to screen the nitrogen efficiency of rice.The nitrogen-efficient and nitrogen-inefficient rice varieties screened were further used to analyze the differences in growth, yield formation, absorption and utilization of nitrogen, activity of enzymes, metabolites, and expression level of related genes with hydroponic culture, soil pot, and field trials.The results showed that the nitrogen efficient and nitrogen inefficient rice variety was determined to be Quanyousimiao(5#) and Wuyoujingsimiao(8#).5# had better root architecture and biomass under both +N and -N treatments, with significantly higher plant height, root length, number of root tips, total surface area and volume of roots, and dry weight of roots and shoots compared to that of 8#.The effective number of spikes, spike length, thousand-grain weight, seed setting rate, grain yield, and absorption and utilization of nitrogen of 5# was higher than that of 8#.The content of nitrogen, accumulation of roots and shoots, the absorption of 15NO3- and 15NH4+, nitrogen utilization index, and distribution ratio in grains of 5# was significantly higher than that of 8#.The expression level of most genes involved in the absorption, transport, reduction, and assimilation of nitrogen in 5# was significantly higher than that in 8#.The activity of NR in root and activity of GOGAT in shoot, the content of soluble protein and sugar in 5# was significantly higher than that in 8#.It is indicated that excellent architecture of root, stronger absorption capacity of nitrogen, efficiently transporting nitrogen to shoot, timely reducing and assimilating nitrogen, and distributing more nitrogen to grains are important characteristics of nitrogen-efficient rice variety.

      • 0+1
      • 1+1
      • 2+1
      • 3+1
      • 4+1
      • 5+1
    • Screening phosphorus efficient rice varieties mainly planted in middle and lower reaches of Yangtze River and its physiological and biochemical characteristics

      2025, 44(5):13-24. DOI: 10.13300/j.cnki.hnlkxb.2025.05.002

      Abstract (18) HTML (3) PDF 2.47 M (115) Comment (0) Favorites

      Abstract:57 rice varieties mainly planted in the middle and lower reaches of Yangtze River were used to study the mechanism of differences in phosphorus utilization efficiency(PUE) among rice varieties.Hydroponic culture was used to screen phosphorus efficiency.The selected phosphorus-efficient and phosphorus-inefficient rice varieties were used to analyze differences in growth,yield formation,absorption and utilization of phosphorus,the activity of acid phosphatase and expression level of related genes with experiments including hydroponic culture,soil pot,and field plot.The results showed that the phosphorus efficient and phosphorus inefficient variety was identified through screening as Quanyou 879(39#) and Changliangyou 8(21#).The architecture of root system and biomass of phosphorus efficient variety were better than those of phosphorus inefficient variety under both +P and -P treatments,with significantly higher plant height,total surface area and volume of roots,number of root tips,and dry weight of roots and shoots.The effective number of spikes,spike length,thousand-grain weight,seed setting rate,and grain yield of phosphorus efficient variety were higher than those of phosphorus inefficient variety.The absorption and utilization of phosphorus in phosphorus efficient variety was significantly higher than that in phosphorus inefficient variety.The accumulation of phosphorus in roots and shoots,the absorption of phosphorus,use efficiency and utilization index of phosphorus in phosphorus efficient variety were all significantly higher than those in phosphorus inefficient variety.The expression level of OsPHR2OsmiR399OsPT6,and OsPAP10 genes in roots of phosphorus efficient variety under -P condition was higher than that of phosphorus inefficient variety.The activity of acid phosphatase in both roots and root surface of phosphorus efficient variety under both +P and -P treatments was significantly higher than that of phosphorus inefficient variety.It is indicated that the excellent architecture of root,stronger absorption capacity and utilization ability of phosphorus,the higher ability of releasing organic phosphorus into inorganic phosphorus to improve the phosphorus availability to plants are important characteristics of phosphorus efficient variety.

      • 0+1
      • 1+1
      • 2+1
      • 3+1
      • 4+1
      • 5+1
      • 6+1
    • Screening potassium efficient rice varieties mainly planted in middle and lower reaches of Yangtze River and its physiological and biochemical characteristics

      2025, 44(5):25-35. DOI: 10.13300/j.cnki.hnlkxb.2025.05.003

      Abstract (21) HTML (0) PDF 2.66 M (113) Comment (0) Favorites

      Abstract:57 rice varieties mainly planted in the middle and lower reaches of Yangtze River were used to study the physiological and biochemical characteristics of potassium efficient rice varieties planted in this region.Hydroponic culture was conducted to screen potassium utilization efficiency.The potassium efficient and potassium inefficient rice varieties were used to analyze the differences in growth,yield formation,absorption and translocation of potassium,the expression level of related genes with hydroponic culture,soil pot experiment,and field assay.The results showed that the potassium efficient and potassium inefficient rice variety was determined to be Xiangliangyou No.16(23#) and Xinganxiangzhan(14#).The potassium efficient rice variety had better root architecture and biomass under both +K and -K treatments,with significantly higher plant height,root length,number of root tips,total surface area and volume of roots,and dry weight of roots and shoots compared to that of potassium inefficient rice variety.The effective number of spikes,spike length,thousand-grain weight,and grain yield of the potassium efficient rice variety was higher than that of the potassium inefficient rice variety.The absorption,translocation and utilization of potassium in potassium efficient rice variety was significantly higher than that in the potassium inefficient rice variety.The accumulation of potassium in roots and shoots,the absorption of potassium in plant,potassium utilization index,and distribution ratio in grains of potassium efficient rice variety were all significantly higher than that of the potassium inefficient variety.The expression level of OsAKT1,OsHAK1,OsHAK4,OsHKT2;1,OsKAT2,and OsKAT3 gene in the potassium efficient rice variety was significantly higher than that in the potassium inefficient rice variety.It is indicated that excellent root architecture,stronger absorption capacity of potassium,efficiently transporting potassium to shoot,and distributing more potassium to grains are important characteristics of the potassium efficient rice variety.

      • 0+1
      • 1+1
      • 2+1
      • 3+1
      • 4+1
      • 5+1
    • Screening and identifying rice varieties with tolerance of low temperature and toxicity of iron and manganese in middle and lower reaches of Yangtze River

      2025, 44(5):36-49. DOI: 10.13300/j.cnki.hnlkxb.2025.05.004

      Abstract (21) HTML (0) PDF 5.61 M (114) Comment (0) Favorites

      Abstract:57 main rice varieties planted in the middle and lower reaches of the Yangtze River were used to conduct hydroponic culture experiment under the low temperature and the toxicity of iron(Fe2+) and manganese(Mn2+) to screen the adaptive rice varieties in cold-waterlogged paddy fields in this area.The selected tolerant and sensitive varieties were used to analyze the differences in the growth phenotype,root architecture,content of iron and manganese,and the activity of antioxidant enzyme.The results showed that there were no significant differences in most growth indexes and physiological and biochemical indexes in cold tolerant or toxicity of iron and manganese tolerant varieties compared to that in sensitive varieties under control conditions.The growth indexes and physiological and biochemical indexes in cold tolerant or toxicity of iron and manganese tolerant varieties were better than those in sensitive varieties under treatment.The survival rate,aboveground biomass,content of chlorophyll b,and activity of POD in cold tolerant varieties was significantly higher than that in cold sensitive varieties under low temperature treatment,while the content of MDA aboveground in cold tolerant varieties was significantly lower than that in cold sensitive varieties.The plant height,total root length,root volume and surface area,root tip number,and aboveground dry weight of Fe2+ tolerant varieties was significantly higher than that of ++Fe2+ sensitive varieties under ++Fe2+ treatment.The content of iron in the root of ++Fe2+ tolerant varieties was significantly lower than that of ++Fe2+ sensitive varieties,and the activity of SOD and POD in the root and aboveground parts of ++Fe2+ tolerant varieties was significantly higher than that of ++Fe2+ sensitive varieties.The plant height,primary root length,root surface area,root and shoot dry weight in Mn2+ tolerant varieties were higher than that in ++Mn2+ sensitive varieties under ++Mn2+ treatment.The content of Mn2+ in root and shoot of ++Mn2+ tolerant varieties was significantly lower than that of ++Mn2+ sensitive varieties,while the activity of SOD and POD in the shoot of ++Mn2+ tolerant varieties was higher than that of ++Mn2+ sensitive varieties.Several varieties such as Quanyousimiao(5#),Hongxiangyousimiao(9#),Jiafengyou No.2(19#),Quanliangyou No. 534(33#),Weiliangyou No. 534(34#)and Hualiangyou No. 2817(53#)with high-yield and multi-resistance were obtained through Venn diagram analysis and composite stress screening,which can be used as candidate varieties for popularizing and planting in cold-waterlogged paddy fields.

      • 0+1
      • 1+1
      • 2+1
      • 3+1
      • 4+1
      • 5+1
      • 6+1
      • 7+1
      • 8+1
      • 9+1
      • 10+1
    • Comprehensive multivariate evaluation and screening of indicators for aluminum toxicity tolerance in hybrid maize seedlings

      2025, 44(5):50-59. DOI: 10.13300/j.cnki.hnlkxb.2025.05.005

      Abstract (22) HTML (0) PDF 1.37 M (112) Comment (0) Favorites

      Abstract:To systematically evaluate the Al-toxicity of maize varieties and to establish an efficient screening system,45 hybrid maize varieties were selected to conduct Al-toxicity stress trials in this study.The experiment was designed in a dual-treatment mode:basic acidic soil (pH 5.15) and high-aluminum-toxic acidic soil to reveal the resistance mechanism of the varieties by comparing the differences in stress.During the critical growth stage of maize at the 3-leaf stage,the research team systematically measured 12 morpho-physiological indexes,including stem diameter,plant height,and SPAD value,and quantified the level of resistance by introducing the aluminum toxicity tolerance coefficient (CAlt).In this study,we used a multidimensional analysis method to construct an evaluation system,firstly,we extracted the characteristic indexes by dimensional reduction of principal component analysis,combined with the affiliation function method to calculate the comprehensive resistance evaluation value (D value),and then we used the systematic clustering to classify the varieties into five resistance levels (among which extremely resistant D≥0.75,extremely sensitive D≤0.25),and then we screened out the extremely resistant varieties of aluminum toxicity,such as GY14022,EHD1,QKY900,and HY1702,and the aluminum toxicity resistant varieties of GY14022,EHD1,QKY900 and HY1702,and the aluminum toxicity resistant varieties of GY14022,EHD1,QKY900 and HY1702.HY1702,and extremely sensitive varieties TR1818,JF86 and ZY303.It was found that aluminum stress significantly inhibited the development of maize seedlings (P<0.001),the plant height and biomass decreased by 5.37% and 17.65%,respectively,and there was a significant correlation between the resistance indexes (P<0.05),which verified the reliability of the evaluation system.Finally,through the double validation of gray correlation and stepwise regression,the five core screening indexes of root fresh weight,total dry weight,SPAD value,total fresh weight and root length were confirmed.In conclusion,aluminum toxicity stress severely inhibited the growth of maize at seedling stage,and there were significant differences in acid tolerance among different maize varieties.The comprehensive analysis screened root fresh weight,total dry weight,SPAD,total fresh weight and root length as the key indexes for screening of aluminum toxicity resistance of maize at seedling stage.

      • 0+1
      • 1+1
    • Effects of nitrogen application rate on agronomic traits of Brassica napus L. and screening of nitrogen-efficient genotypes

      2025, 44(5):60-68. DOI: 10.13300/j.cnki.hnlkxb.2025.05.006

      Abstract (18) HTML (1) PDF 1.15 M (113) Comment (0) Favorites

      Abstract:A Field experiment was conducted on 14 genotypes of Brassica napus L. with gradient nitrogen treatments including nitrogen fertilizer application rates of high nitrogen 210 kg/hm2, low nitrogen 70 kg/hm2, and no nitrogen application 0 kg/hm2 to screen nitrogen-efficient varieties of B. napus to reduce the dependence on nitrogen fertilizer and promote the green production. Agronomic traits, seed yield, and nitrogen efficiency related indexes including partial factor productivity of nitrogen (PFPN) and agronomic efficiency of nitrogen (AEN) were measured. The nitrogen efficiency was comprehensively evaluated based on correlation analysis of agronomic traits and classification of nitrogen efficiency types. The results showed that there were more significant differences in the response of different genotypes of B. napus L. to nitrogen under the low nitrogen treatment, with significant differentiation in nitrogen efficiency related indexes. The mean value of PFPN and AEN reached 2.75 times and 2.30 times higher than that under the high nitrogen treatment, respectively. The dual highly-efficient genotypes of B.napus L. with significantly higher seed yield than the average yield of all genotypes tested at corresponding nitrogen rate under the high and low nitrogen treatments were screened. PFPN and AEN were stable and excellent, maintaining high levels under the high and low nitrogen treatments (PFPN≥12 kg/kg, AEN ≥5 kg/kg under the high nitrogen treatment; PFPN≥30 kg/kg, AEN≥10 kg/kg under the low nitrogen treatment). The low nitrogen-efficient genotypes achieved a PFPN of 50.61 kg/kg and an AEN of 43.92 kg/kg under the low nitrogen treatment. The high nitrogen-efficient genotypes performed prominently only under the high nitrogen treatment. Nitrogen application regulated correlations among agronomic traits, with enhanced the positive correlations between aboveground dry weight, number of siliques, and seed yield under nitrogen application. The proportion of dual highly-efficient genotypes was 28.57%, with stable accumulation of biomass. The low nitrogen-efficient genotypes adapted to the low nitrogen treatment by exhibiting high thousand-seed weight and seeds per silique. It is indicated that dual highly-efficient and low nitrogen-efficient varieties of B. napus L. can provide valuable germplasm for the genetic improvement of nitrogen use efficiency and the development of cultivation strategies to reduce fertilizer and improve efficiency in B. napus L..

      • 0+1
      • 1+1
    • Evaluation of magnesium efficiency in natural populations of oilseed rape at stage of seedling and screening of elite germplasm with high magnesium efficiency

      2025, 44(5):69-79. DOI: 10.13300/j.cnki.hnlkxb.2025.05.007

      Abstract (17) HTML (0) PDF 1.33 M (105) Comment (0) Favorites

      Abstract:Screening magnesium (Mg)-efficient germplasm of oilseed rape (Brassica napus L.) will provide elite materials for studying molecular mechanism of Mg efficiency in Brassica napus.90 varieties of natural population of B. napus were used to examine 10 traits of the population including the weight of fresh biomass,the weight of dry biomass,the ratio of root to shoot and the accumulation of Mg under low and normal Mg treatments with the two-step screening method of nutrient solution culture at the stage of seedling to screen magnesium efficient varieties of B. napus and study the molecular mechanism of magnesium efficiency in B. napus.Correlation analysis,cluster analysis,and comprehensive evaluation analysis methods were used to comprehensively evaluate the magnesium efficiency in 90 varieties and screen magnesium efficient varieties.The results showed that there were significant differences in 10 traits of 90 varieties under 2 magnesium treatments,with a coefficient of variation ranging from 14.8% to 82.94%.The coefficient of low-Mg tolerance of 10 traits was significantly positively correlated.90 varieties were divided into four types including high-efficiency and low sensitivity type (14 varieties),high-efficiency and high sensitivity type (21 varieties),low efficiency and high sensitivity type (19 varieties),and low efficiency and low sensitivity type (36 varieties) based on the weight of dry biomass and the coefficient of magnesium efficiency under normal magnesium conditions as the main indexes for evaluation.The magnesium efficient varieties including W16 and W100 and magnesium inefficient varieties including W61 and W132 of B. napus were finally screened out through re-screening verification,which can provide materials for subsequent studies on the molecular mechanism of high magnesium efficiency in B. napus.

      • 0+1
      • 1+1
      • 2+1
      • 3+1
      • 4+1
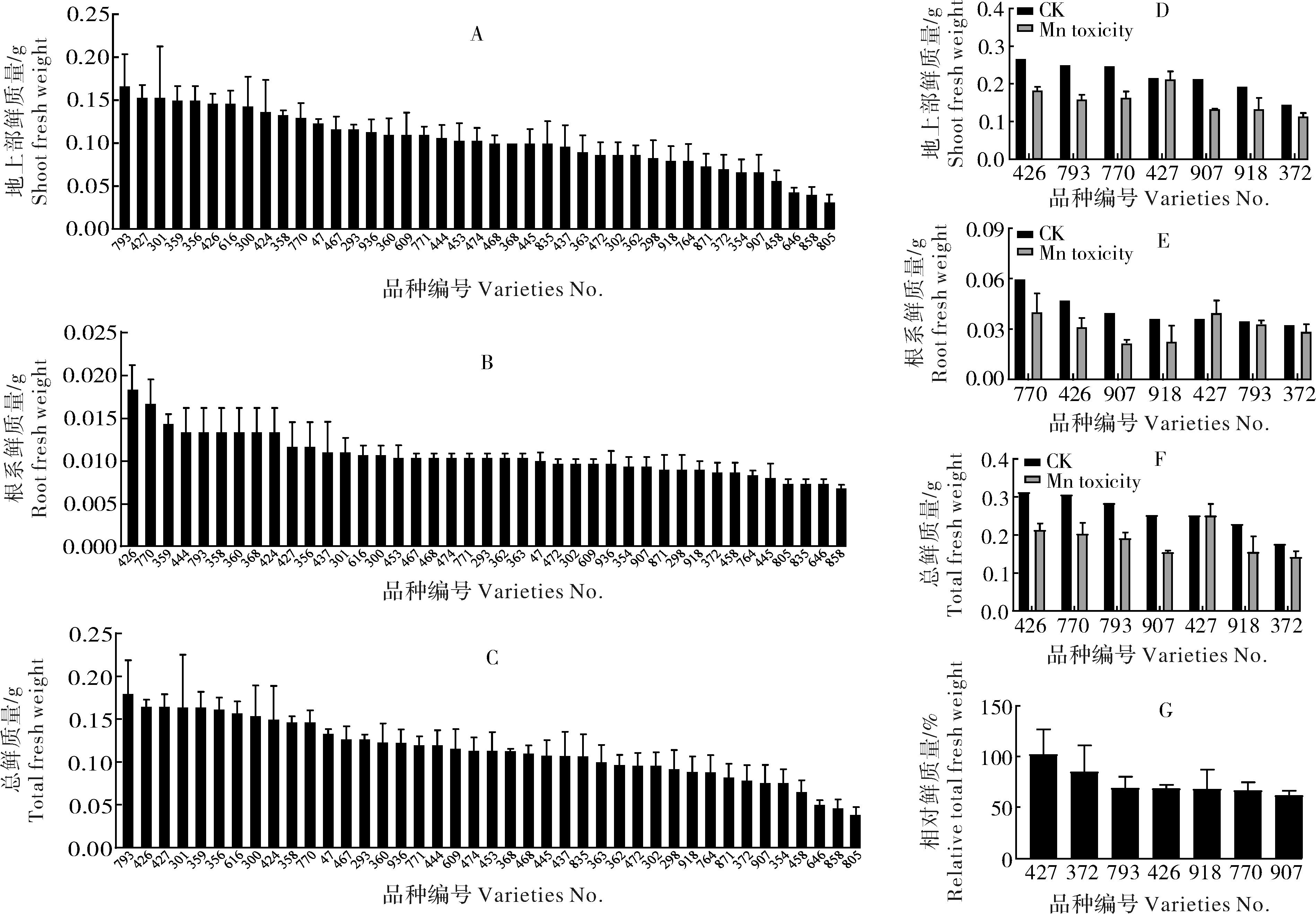
    • Identification of manganese tolerant varieties of Brassica napus and their tolerance mechanisms

      2025, 44(5):80-87. DOI: 10.13300/j.cnki.hnlkxb.2025.05.008

      Abstract (17) HTML (1) PDF 1.99 M (112) Comment (0) Favorites

      Abstract:To explore the effects of manganese toxicity stress on different rapeseed varieties and the mechanisms of manganese tolerance in rapeseed under acidic soil conditions,41 varieties of Brassica napus were used to analyze their phenotypes under normal manganese and manganese toxicity conditions with nutrient solution (300 μmol/L MnCl2) cultivation to study the effects of manganese toxicity in acidic soil on different varieties of B. napus and the mechanisms of manganese toxicity tolerance in B. napus.The ratio of total fresh mass under manganese toxicity treatment to total fresh mass under normal treatment was calculated.The manganese toxin tolerant variety 427 (Mn-T 427) and the manganese toxin sensitive variety 907 (Mn-S 907) were identified.The physiological mechanism of manganese tolerance in B. napus was preliminarily analyzed.The results showed that manganese toxicity stress significantly inhibited the growth of Mn-S 907,resulting in a significant decrease in shroot fresh weight and photosynthetic rate,severe degradation of chlorophyll,and inhibition of root growth.The excessive accumulation of reactive oxygen species (ROS) in the roots of Mn-S 907 indicated a low clearance efficiency of their antioxidant system.In contrast,Mn-T 427 had significant advantages including less limitation of biomass and the ability to optimize root architecture by increasing root length and surface area to adapt to manganese toxicity stress.The loss of chlorophyll was smaller,photosynthesis was less affected by manganese toxicity,and it had stronger antioxidant capacity.Compared with Mn-S 907,Mn-T 427 alleviates the damage caused by manganese toxicity through regulating root growth,maintaining photosynthesis,and enhancing antioxidant systems.It will provide important germplasm resources and a theoretical foundation for breeding B. napus with high yield in acidic soils.

      • 0+1
      • 1+1
      • 2+1
      • 3+1
      • 4+1
    • >Horticulture·Forestry
    • Effects of methyl salicylate and methyl jasmonate on volatile compounds of tulip flowers

      2025, 44(5):88-97. DOI: 10.13300/j.cnki.hnlkxb.2025.05.009

      Abstract (26) HTML (1) PDF 1.63 M (112) Comment (0) Favorites

      Abstract:The effects of different concentrations of methyl salicylate (MeSA) and methyl jasmonate (MeJA) on the volatile compounds of tulip flowers were studied. Petals of tulip were sprayed with MeSA and MeJA of 50 μmol/L, 200 μmol/L and 600 μmol/L. The volatile compounds of tulip flowers were determined and analyzed with headspace solid-phase microextraction (HS-SPME) coupled with gas chromatography-mass spectrometry (GC-MS). The results showed that the volatile compounds of tulip flowers mainly included alcohols, alkanes, terpenes, benzenes, ketones, and esters, with the highest total release of alcohols. The content of the six types of compounds showed different trends of changing after spraying MeSA and MeJA of different concentrations. The release of terpenes increased significantly under the treatment with 50 μmol/L MeSA or 200 μmol/L MeJA. 4-Dodecanol, (E)-β-ocimene, and trans-3-hexen-1-ol were the main volatile compounds in tulip flowers. Among them, the release of (E)-β-ocimene increased under the treatment with different concentrations of MeSA and MeJA. The release of (E)-β-ocimene under the treatment with 50 μmol/L MeSA and 200 μmol/L MeJA was 10 times and 3.3 times higher than that of the control group. It is indicated that exogenous spraying of MeJA and MeSA significantly promotes the release of volatile compounds from tulip flowers. It will provide an important theoretical basis for selecting the appropriate concentration of MeJA and MeSA to improve the fragrance of tulip flowers.

      • 0+1
      • 1+1
      • 2+1
      • 3+1
      • 4+1
      • 5+1
      • 6+1
      • 7+1
    • Effects of melatonin and jasmonic acid on fruit quality of Bingtang sweet orange

      2025, 44(5):98-106. DOI: 10.13300/j.cnki.hnlkxb.2025.05.010

      Abstract (30) HTML (3) PDF 1.33 M (108) Comment (0) Favorites

      Abstract:‘Qianyang’ Bingtang orange was used to study the effects of melatonin (MT) and jasmonic acid (prohydrojasmon,PDJ).MT and PDJ were sprayed during the fruit expansion stage and the pre-ripening stage to assess the intrinsic quality of the fruits and the expression of CsAN1,a key gene for citric acid accumulation.The results showed that during fruit expansion,fruit soluble solids (TSS) content decreased by 15.07%,30.48% and 19.67% at 10,30 and 50 days after MT treatment compared with the control,respectively,while citric acid content was significantly increased by 18.35%,19.11% and 30.30%.PDJ treatment,on the other hand,significantly reduced the citric acid content,which decreased by 25.10%,36.14% and 34.25% at 10,30 and 50 days after treatment,respectively.During the pre-ripening stage,citric acid content increased by 106.19%,84.82% and 63.10% at 10,25 and 40 d after MT treatment compared to the control group,respectively.PDJ treatment significantly increased the fruit TSS content by 15.59%,2.52% and 9.83% at 10,25 and 40 days after treatment.MT treatment of citrus callus resulted in a 31.06% increase in citric acid content accompanied by significantly upregulated CsAN1 expression.These findings demonstrated that foliar application of MT during both fruit expansion and pre-ripening phases promoted citric acid accumulation and significantly upregulated CsAN1,while PDJ application prior to ripening enhanced the TSS content in fruits.

      • 0+1
      • 1+1
      • 2+1
      • 3+1
      • 4+1
    • >Animal science·Veterinary medicine
    • Differences in amino acids and nutritional value in milk from buffalo and dairy cow

      2025, 44(5):107-117. DOI: 10.13300/j.cnki.hnlkxb.2025.05.011

      Abstract (20) HTML (0) PDF 727.39 K (106) Comment (0) Favorites

      Abstract:The content of free amino acids (FAA) and hydrolytic amino acids (HAA) in 30 samples of buffalo milk and 70 samples of dairy cow milk were detected with an amino acid automatic analyzer to study the content and composition of FAA and HAA in buffalo milk and dairy cow milk. The differences in amino acid between buffalo milk and dairy cow milk were compared in terms of four aspects including the composition, nutritional evaluation, characteristics of flavor, and medicinal evaluation. A partial least squares discriminant analysis (PLSDA) was used to establish a classification model for buffalo milk and dairy cow milk with the percentage of FAA and HAA as input variables. The results showed that the total amount of FAA and HAA in buffalo milk and dairy cow milk was 120.93 μg/g and 98.19 μg/g, and 4.21 g/100 g and 2.95 g/100 g, respectively. The absolute content of 16 HAA in buffalo milk was significantly higher than that in dairy cow milk (P<0.05), and the percentage content was similar to that in dairy cow milk. The absolute content of other 14 FAA except for Asp, Thr and Glu in buffalo milk was significantly higher than that of dairy cow milk (P<0.05), with a big difference in the characteristics of the percentage content. Buffalo milk was rich in umami and sweet amino acids, with significantly higher content of essential amino acids (EAA), branched chain amino acids (BCAA), and medicinal amino acids (MAA) compared to that in dairy cow milk (P<0.05). The ratio of EAA total amino acids (TAA) and the ratio of EAA to non-essential amino acids (NEAA) was 40% and 76%, higher than the standard of ideal protein, indicating that proteins in both buffalo milk and dairy cow milk are high-quality proteins. The nutritional value of protein in buffalo milk was higher than that in dairy cow milk. The amino acid score of protein in buffalo milk was higher than 100 under the amino acid score model of the population except infants, with the accuracy of the species discrimination model of 100%. It is indicated that buffalo milk has high value of protein, rich in umami and sweet amino acids that regulate milk flavor, EAA, BCAA, and MAA that improve functions of human body, with great market potential for comprehensive development and utilization. In addition, the composition of amino acids in buffalo milk and dairy cow milk each has its own characteristics, and the characteristics of amino acids can be used to identify the authenticity of milk sources.

    • Correlation analysis between shell morphological traits and meat yield rate of Bellamya purificata

      2025, 44(5):118-125. DOI: 10.13300/j.cnki.hnlkxb.2025.05.012

      Abstract (25) HTML (1) PDF 913.55 K (109) Comment (0) Favorites

      Abstract:To investigate the shell morphological traits closely related to the meat yield rate of Bellamya purificata,180 individuals of varying sizes,large (≥5 g),medium (3-5 g),and small (1-3 g) were randomly collected for study.After weighing,the parameters: shell height (X1),body whorl height (X2),spiral whorl height (X3),shell width (X4) and shell aperture height (X5) were measured.The abdominal foot muscle was then dissected to determine the net meat weight,and meat yield rate (Y).Then,correlation analysis,path analysis,and stepwise regression analysis were conducted to identify the key shell morphological traits associated with the meat yield rate.Multiple regression equations were established based on the results obtained.The results showed that,the meat yield rates of three sizes of B. purificata were significantly correlated with all five shell morphological traits (P<0.01).Among these traits,shell width exhibited the highest correlation with meat yield rate,with correlation coefficients of 0.812,0.811,and 0.850 for large,medium,and small individuals,respectively.Path analysis results revealed that shell width,shell height,body whorl height,and spiral whorl height were significantly related to meat yield rate.Notably,shell width displayed the highest correlation with meat yield rate,with path coefficients of 0.534,0.705,and 0.850 for the three size categories.The regression equations for shell morphological traits (Xi) and meat yield (Y) were fitted by stepwise regression analysis as Y=-0.275+0.013X4+0.010X2-0.003X3Y=-0.112+0.014X4-0.003X1+0.005X2 and Y=-0.078+0.019X4 for large,medium and small size individuals,respectively.The results of this study indicated that shell width is the morphological trait most closely related to meat yield rate,and therefore it can be used as an indirect selection trait for the genetic improvement of meat yield in B. purificata.

      • 0+1
      • 1+1
    • Identification of SNPs in mstn and mtor gene of Siniperca chuatsi and their association with growth traits

      2025, 44(5):126-133. DOI: 10.13300/j.cnki.hnlkxb.2025.05.013

      Abstract (14) HTML (0) PDF 640.25 K (113) Comment (0) Favorites

      Abstract:To identify molecular markers associated with growth traits in mandarin fish (Siniperca chuatsi) and to facilitate the selective breeding of superior varieties, single nucleotide polymorphism (SNP) loci were screened based on the genomic DNA sequences of the growth-related genes mstn and mtor.A subsequent correlation analysis between these loci and growth traits revealed the identification of three SNPs: mstn-in2, mtor-in26, and mtor-E11.The polymorphism information content (PIC) for these three SNPs ranged from 0.280 8 to 0.372 9, indicating moderate levels of polymorphism in both the Guizhou and Guangdong populations.Marker-trait association analysis revealed the following findings: In the Guizhou population, individuals with the GG genotype at the mstn-in2 locus exhibited significantly higher mean values for total length, body length, and body mass compared to those with the CC genotype (P<0.05).Similarly, in the Guangdong population, individuals with the GG genotype at the mstn-in2 locus showed significantly higher mean values for total length, body length, body height, and body mass than those with the CC genotype (P<0.05).Furthermore, in the Guangdong population, individuals with the TT genotype at the mtor-in26 locus exhitied significantly higher mean values for total length, body mass, and Fulton’s condition factor compared to those with the TC or CC genotypes (P<0.05).These findings indicate that the GG genotype at the mstn-in2 locus and the TT genotype at the mtor-in26 locus are advantageous for growth.Therefore, the mstn and mtor genes are proposed as important candidate genes for molecular marker-assisted breeding programs in mandarin fish.

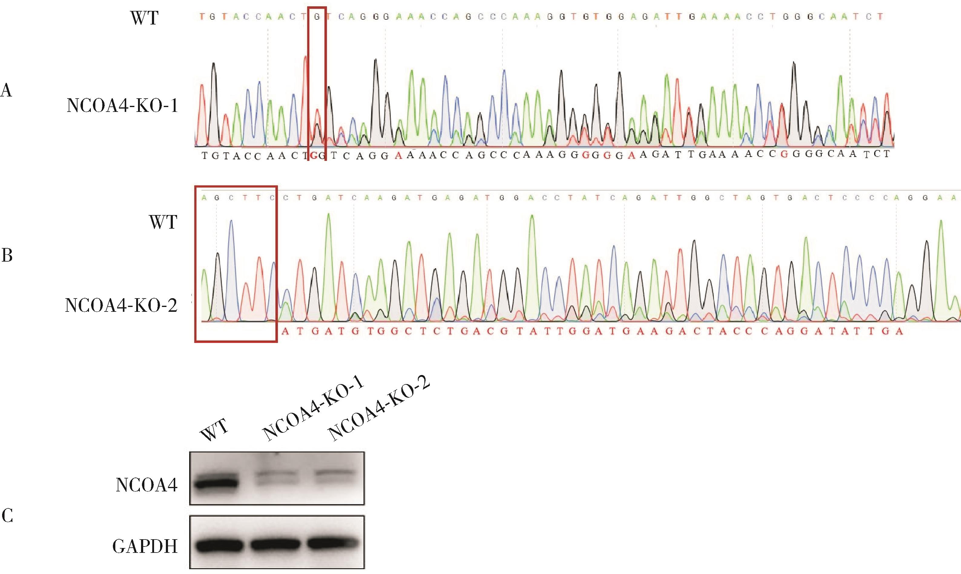
    • Constructing MARC-145 cell lines with NCOA4 gene knockout based on CRISPR/Cas9 system and its effect on replication of HP-PRRSV

      2025, 44(5):134-141. DOI: 10.13300/j.cnki.hnlkxb.2025.05.014

      Abstract (21) HTML (1) PDF 1.75 M (110) Comment (0) Favorites

      Abstract:Ferritinophagy is a crucial cellular pathway that selectively degrades ferritin to release free iron and plays a key role in maintaining intracellular iron homeostasis. Recent studies have shown a close relationship between viral infections and host iron metabolism. As a significant pathogen severely affecting the global swine industry, the relationship between PRRSV replication and host ferritinophagy remains unclear.CRISPR/Cas9 technology was used to knockout the NCOA4 gene encoding a key receptor for ferritinophagy in PRRSV-susceptible MARC-145 cells to study the role of NCOA4-mediated ferritinophagy in the infection of PRRSV. The efficiency of knockouting the NCOA4 gene was detected with Sanger sequencing and Western blot. Methods including flow cytometry, QPCR, Western blot and TCID50 assays were used to detect the cell cycle and cell viability of the NCOA4 deficient mutant and wild-type MARC-145, and study the effect of NCOA4 deficiency on the replication of PRRSV. The results showed that MARC-145 cell lines with NCOA4 gene knockout were successfully constructed. The level of ORF7 mRNA, N protein, and viral titers of PRRSV in MARC-145 cell lines with NCOA4 gene knockout was significantly increased and the expression of FTH1 protein was promoted compared with that in wild-type MARC-145 cells. It is indicated that the deletion of NCOA4, a key receptor gene for ferritinophagy, can promote the replication of PRRSV. It will provide a theoretical basis for the prevention and control of PRRSV.

      • 0+1
      • 1+1
      • 2+1
      • 3+1
      • 4+1
      • 5+1
    • YOLOv11 and SVR based detection of back posture and estimation of body size in breeding pigs

      2025, 44(5):142-151. DOI: 10.13300/j.cnki.hnlkxb.2025.05.015

      Abstract (19) HTML (1) PDF 3.05 M (117) Comment (0) Favorites

      Abstract:A non-contact image data collection platform for pigs was designed to solve the problems of the response to stress, large errors, and low efficiency caused by the manual contact measurement of body size in breeding pigs. A method of detecting back posture and estimating body size in pigs was proposed based on YOLOv11 and support vector regression (SVR) algorithm. The YOLOv11 model was used to detect the back posture in pigs and the SVR algorithm was used to process the information of body size from the results of detection to estimate the body size in pigs. The results showed that the recall and average precision of the YOLOv11 model reached 94.6% and 96.0%, respectively, indicating that the model has a good robustness of detection. The mean absolute percentage errors between the estimated and measured value of body length, chest width, and hip width obtained through the SVR algorithm was 2.78%, 2.55%, and 2.88%, respectively, indicating that the algorithm has high accuracy in measuring the body size. It is indicated that the method of detecting back posture and estimating body size in pigs based on YOLOv11 and SVR algorithm has the characteristics of lightweight and high accuracy, providing an efficient and reliable tool for breeding selection in pig farms while reducing human error and the response to stress in pigs.

      • 0+1
      • 1+1
      • 2+1
      • 3+1
      • 4+1
      • 5+1
      • 6+1
      • 7+1
      • 8+1
      • 9+1
    • >Plant protection
    • Research progress on biological control of bacterial wilt

      2025, 44(5):152-164. DOI: 10.13300/j.cnki.hnlkxb.2025.05.016

      Abstract (12) HTML (1) PDF 1.41 M (111) Comment (0) Favorites

      Abstract:Bacterial wilt,caused by Ralstonia solanacearum,is a soil-borne disease that poses significant challenges for control due to its strong stress resistance and diverse transmission pathways.Preventing and managing bacterial wilt is difficult because this pathogen evolves rapidly,and has a wide host range.Biological control,recognized as an eco-friendly and sustainable strategy,has emerged as a crucial approach for managing bacterial wilt.In order to clarify the complex interactions among pathogenic bacteria,plant hosts,and biocontrol strategies,and to promote the effective management of bacterial wilt,this article reviewed recent advances in the biocontrol of bacterial wilt from three aspects: the inhibitory effects of biological metabolites,such as antibiotics and methyl gallate,on R. solanacearum; the control of the pathogen by bacteria and fungi through antagonistic actions,as well as by bacteriophages employing specific lytic strategies; and the suppression of pathogen over-proliferation and disease manifestation at an ecological level through the regulation of microbial communities.Additionally,we discussed the multiple challenges of biocontrol,including microbial activity,the complex genetic diversity of pathogenic bacteria,the frequent occurrence of complex diseases,limited resources of biocontrol agents,and high economic costs.It was proposed that the future biocontrol of bacterial wilt should focus on improving control efficacy and application sustainability through the construction of synthetic microbial communities,phage-prebiotic combinations,synthetic biological transformations,and comprehensive management strategies.

      • 0+1
    • Identification of pathogen causing root rot nematode disease in Curcuma wenyujin plants grown in Hainan

      2025, 44(5):165-178. DOI: 10.13300/j.cnki.hnlkxb.2025.05.017

      Abstract (19) HTML (0) PDF 5.96 M (112) Comment (0) Favorites

      Abstract:Symptoms of wilting and root rot were observed in Curcuma wenyujin plants grown in Hainan fields.A root-lesion nematode,Pratylenchus sp.,was detected in the rhizosphere soil of diseased plants.A combined method of morphological and molecular biology was used to identify root-lesion nematodes in the rhizosphere of C. wenyujin to determine the type of nematodes and whether it is the pathogen causing wilting and root rot of C. wenyujin plants.Based on a systematic investigation of the incidence of diseases in the field,the pathogenicity of this nematode to C. wenyujin was confirmed with greenhouse potted inoculation according to Koch’s postulates.The results showed that the nematode was Pratylenchus coffeae.It infected the root tissue of C. wenyujin,completed its life cycle and reproduced extensively during the growth and development of root tissue,causing the browning,necrosis,or rotting of roots and rhizomes,accompanied by the stunting,yellowing,and wilting of plants,leading to the significant decrease in the yield and quality of root and stem.It is indicated that Pratylenchus coffeae is the pathogen of root rot nematode disease in C. wenyujin.This disease is a new disease that can occur throughout the entire growth period of C. wenyujin,and is severe in fields with continuous cropping.

      • 0+1
      • 1+1
      • 2+1
      • 3+1
      • 4+1
      • 5+1
      • 6+1
      • 7+1
    • Study on biological characteristics and environmental factors of tobacco beetles based on full life-cycle visualization

      2025, 44(5):179-188. DOI: 10.13300/j.cnki.hnlkxb.2025.05.018

      Abstract (27) HTML (3) PDF 3.64 M (111) Comment (0) Favorites

      Abstract:To improve the accuracy of intelligent identification and pest monitoring of storage pests,and to guide the effective prevention and control measures for pests in tobacco storage,a whole-life history visualization is proposed for the real-time observation and behavioral quantification of the tobacco beetle.The biological characteristics of the egg ,larval ,pupal ,and adult stages of the tobacco beetle (Lasioderma serricorne F.) were quantified through the visualization of its entire life cycle.The objective of the study was to examine the habits,activity rhythms,and environmental influences on adult behaviors.The experimental process demonstrated that visualizing the entire life history of tobacco beetles enhanced the ability to observe these insects,and the quantitative data of different insect stages were obtained without disrupting the activity of the tobacco beetles.The results indicate that peak activity for adult tobacco beetles occurs at approximately 1 a.m,while peak egg production is observed on the 6th day after eclosion.The adults exhibited a tendency to lay eggs on cards and light sources of various colors,showing significant differences in their proefernces.The effectiveness of the trap equipped with a green light source has been significantly enhanced,with the capture rate increasing by a factor of 2.03 compared with the reference trap.The quantification of the entire life history and application model can be used for several purposes,including pest forecasting,determing the optimal timing of control measures,and selecting the most suitable control methods,pesticide types,and dosages based on the dynamic changes of the pest populations.The results indicate that the full life history visualization method can accurately identify tobacco beetles,significantly improve the accuracy of pest detection,and provide better guidance for the prevention and control of storage pests.

      • 0+1
      • 1+1
      • 2+1
      • 3+1
      • 4+1
      • 5+1
      • 6+1
      • 7+1
      • 8+1
      • 9+1
    • Cotton leaf disease detection based on EDW-YOLOv8

      2025, 44(5):189-197. DOI: 10.13300/j.cnki.hnlkxb.2025.05.019

      Abstract (12) HTML (0) PDF 2.77 M (115) Comment (0) Favorites

      Abstract:Accurate detection of cotton leaf diseases in complex natural environments is essential for effectively minimizing the impact of diseases on cotton yield and quality.To address this,this study proposes a cotton leaf disease detection model based on an improved YOLOv8n.First,the EMA attention mechanism is integrated into the backbone network of YOLOv8n.Simultaneously,the deformable convolutional module,Deformable ConvNets v2,is incorporated into the C2f module within the backbone network to expand the sensory field and strengthen feature extraction capabilities.Additionally,the CIoU loss function is replaced with the WIoU bounding box regression loss,which includes a dynamic focusing mechanism to accelerate model convergence and further improve performance.The experimental results showed that the improved EDW-YOLOv8 model achieves increases of 4.3%,7.5% and 4.6% in accuracy,recall,and average precision,respectively,compared with the original YOLOv8n.These results show that the proposed model,with good generalization ability,can accurately and efficiently detect cotton leaf disease targets in images.

      • 0+1
      • 1+1
      • 2+1
      • 3+1
      • 4+1
      • 5+1
      • 6+1
      • 7+1
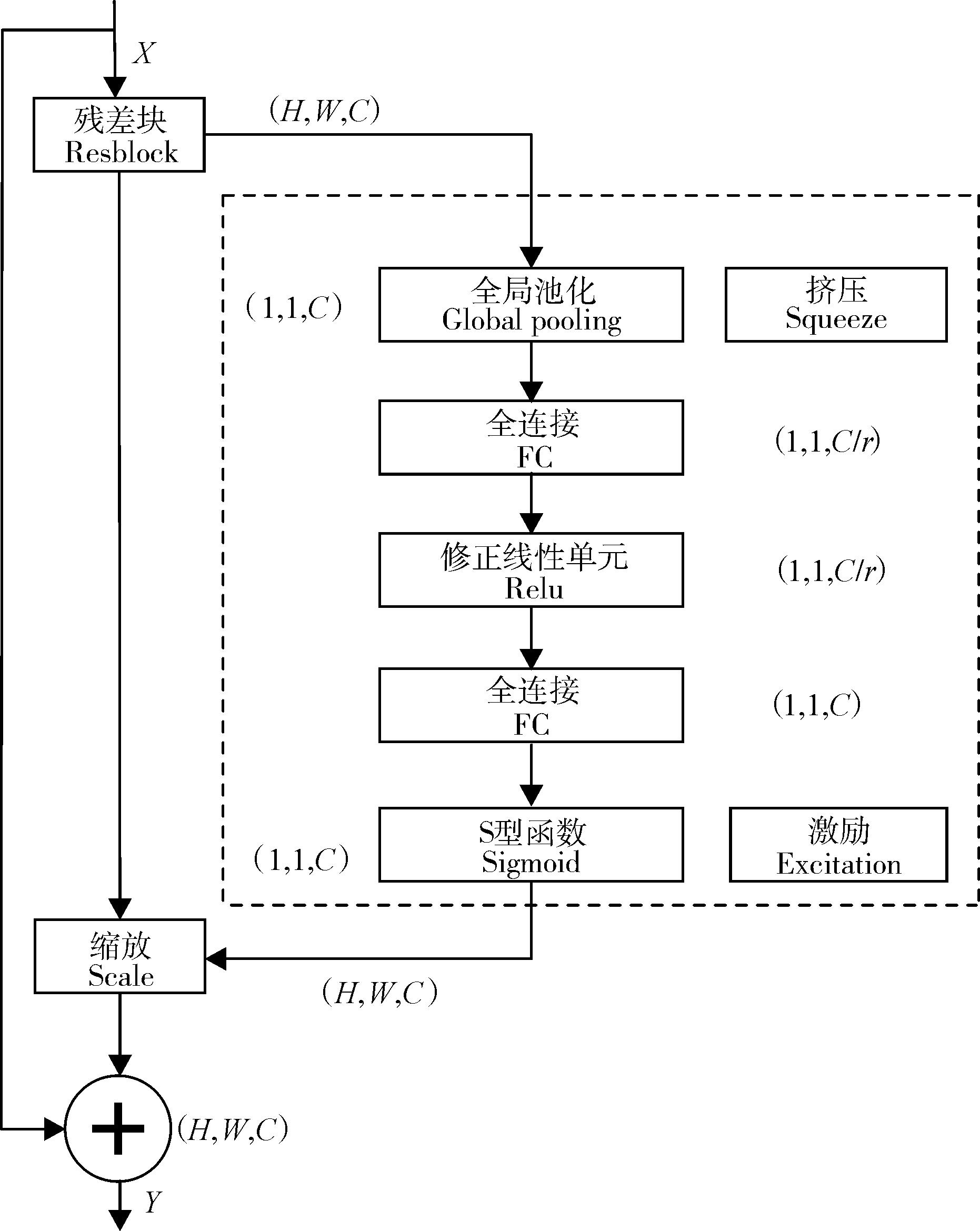
    • Improved CycleGAN-based method for augmenting images of few-shot maize diseases

      2025, 44(5):198-207. DOI: 10.13300/j.cnki.hnlkxb.2025.05.020

      Abstract (17) HTML (0) PDF 2.90 M (109) Comment (0) Favorites

      Abstract:An improved cycle-consistent adversarial networks (CycleGAN)-based method for augmenting data of maize leaf disease images was designed to solve the difficulties in obtaining image dataset of recognizing maize diseases,insufficient samples,and imbalanced samples across different categories of diseases.Convolutional kernels with smaller receptive fields were used to optimize the structure of the CycleGAN network and generate sample images with high-quality and reduce the occurrence of overfitting.The SE (squeeze-excitation) attention mechanism was embedded into the residual module of the generator to enhance the ability of CycleGAN to extract disease features and allow the network to more accurately capture diseases with small target or features with subtle inter-domain differences.The results showed that the improved CycleGAN reduced the frechet inception distance (FID) value of generated disease images by 43.33,32.67,24.24,and 19.72 compared with the original CycleGAN,DCGAN,DCGAN+,and WGAN algorithms. GAN-train and GAN-test increased by 3.13 and 4.25 percentage points compared to that in the original CycleGAN.The improved CycleGAN-based method for augmenting data was used to construct a dataset of maize diseases,and the accuracy of recognizing the maize leaf diseases based on this dataset was significantly improved on three network architectures.AlexNet,VGGNet,and ResNet increased by 3.90,4.41,and 3.44 percentage points,respectively.Compared with traditional data augmentation algorithms,the disease recognition rate of ResNet network architecture increased by 5.79 percentage points.It is indicated that the improved CycleGAN network effectively solves the problem of insufficient image dataset of maize diseases.

      • 0+1
      • 1+1
      • 2+1
      • 3+1
      • 4+1
      • 5+1
      • 6+1
    • >Food science and agricultural engineering
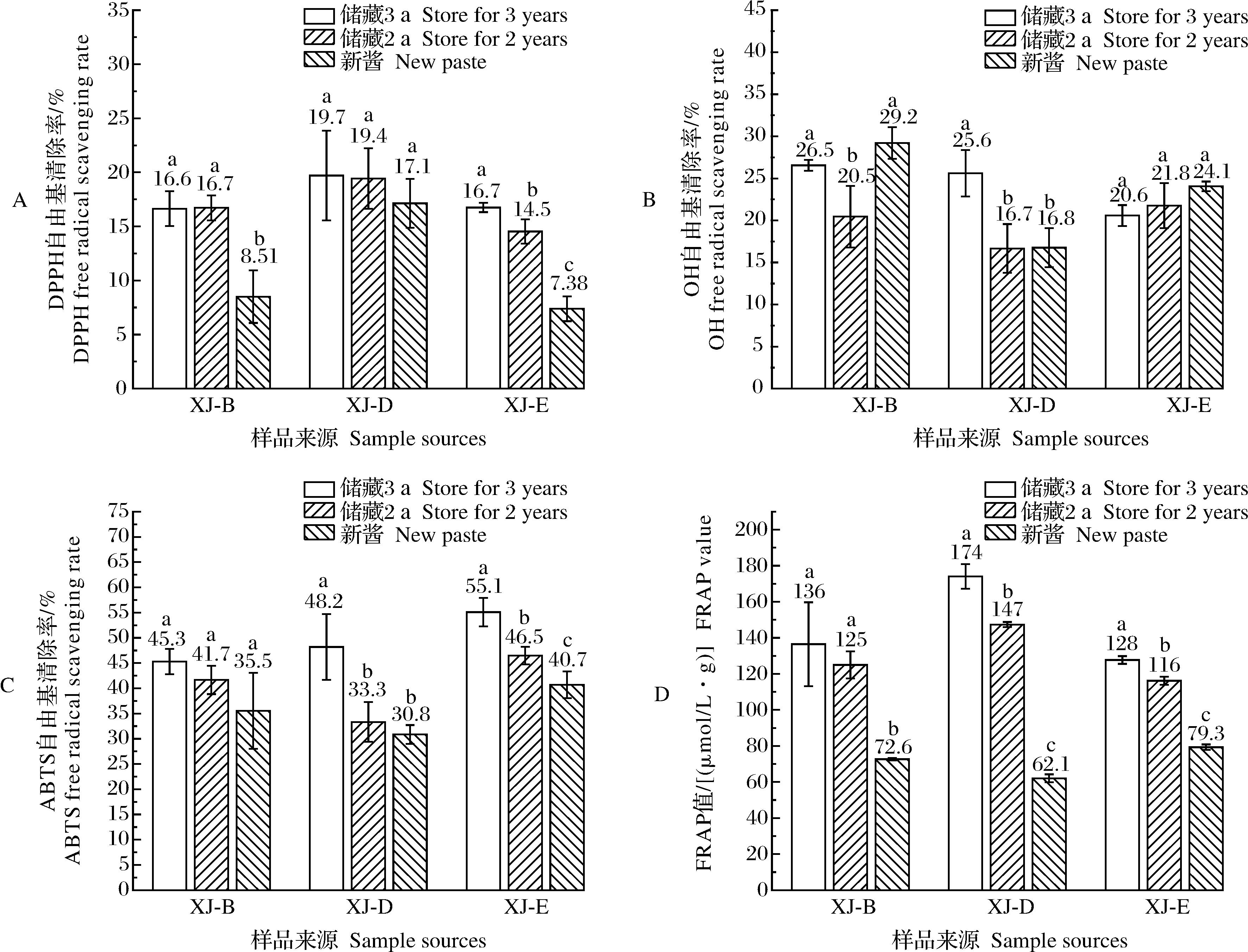
    • Antioxidant capacity of Xianju wheat paste as a traditional condiment

      2025, 44(5):208-217. DOI: 10.13300/j.cnki.hnlkxb.2025.05.021

      Abstract (15) HTML (8) PDF 866.52 K (109) Comment (0) Favorites

      Abstract:The antioxidant components were extracted from Xianju wheat paste with a high-speed homogenization method to mine the functional properties of Xianju wheat paste as a traditional condiment. The conditions for extraction were optimized. The antioxidant capacities of Xianju wheat paste from different workshops and with storage times were evaluated. The results showed that the optimal parameters for extraction were material-to-liquid ratio of 1∶35(g/mL),ethanol concentration of 60%(volume fraction),extraction time of 6 min,and rotational speed of 8 800 r/min. The antioxidant capacity of Xianju wheat paste extracts from different workshops,expressed as the equivalent of Vc per gram of wheat paste,was 3.47-7.30 mg/g for DPPH radical scavenging ability,55.32-70.75 mg/g for OH radical scavenging ability,and 24.32-42.85 mg/g for ABTS radical scavenging ability,with FRAP value of 5.8-11.3 μmol/(L·g). It is indicated that Xianju wheat paste has strong antioxidant capacity and holds great potential for translating into a functional condiment and releasing the profound potential of immense value.

      • 0+1
      • 1+1
      • 2+1
    • Effects of bleeding treatment on quality of fresh silver carp fillets

      2025, 44(5):218-228. DOI: 10.13300/j.cnki.hnlkxb.2025.05.022

      Abstract (18) HTML (0) PDF 706.28 K (106) Comment (0) Favorites

      Abstract:To develop high-quality prefabricated conditioned fish products, silver carp was selected as the research subject. The basic chemical composition, texture features, color, rigor properties, and sensory scores of silver carp fillets were measured under different bleeding methods (neck artery, tail artery), bleeding water temperatures (4,10 ℃), and bleeding durations (0,0.5,1.0, 1.5 h), so as to investigate the influence of different bleeding treatments on the quality of fresh carp fillets. The bleeding treatment significantly reduced the fat content, peroxide value, and lipoxygenase activity of the fillets (P<0.05), while significantly increased the whiteness (P<0.05). There was no significant difference in acid value and lipase activity between the artery bleeding group and the neck artery group; however, the peroxide value and lipoxygenase activity in the tail artery bleeding group were lower than those in the neck artery bleeding group. Compared with the hit slaughter group, bleeding slaughter significantly increased the hardness, elasticity, and chewiness of fresh silver carp fillets. The tail artery bleeding slaughter group exhibited higher levels of hardness, elasticity, and chewiness than those in the neck artery bleeding slaughter group. In comparison to bleeding water at a temperature of 10 ℃, bleeding water temperature at 4 ℃ from the tail artery resulted in increased elasticity, chewiness, muscle water-holding capacity, and total free amino acid content in fresh silver carp fillets, as well as a lower peroxide value. Additionally, as the duration of bleeding increased, there was an initial improvement in the sensory quality of fresh silver carp fillets, followed by a decline. The sensory comprehensive score of the fillets peaked at a bleeding time of 1 hour. The above results indicated that the bleeding methods, water temperatures during bleeding, and bleeding durations significantly affected the quality of fresh silver carp fillets. Tail artery bleeding at a water temperature of 4 ℃ for 1 hour significantly improved the edible quality of fresh carp.

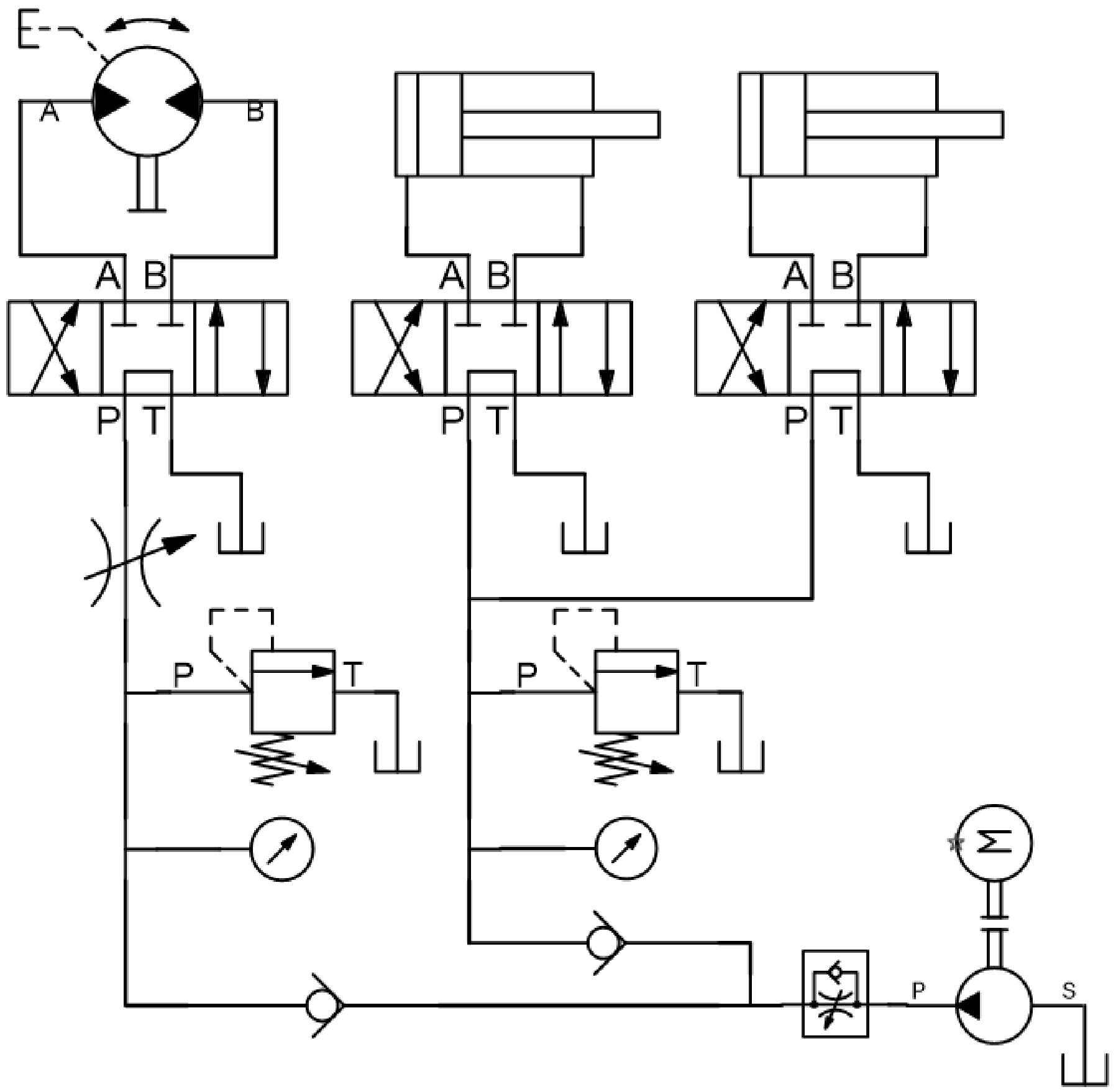
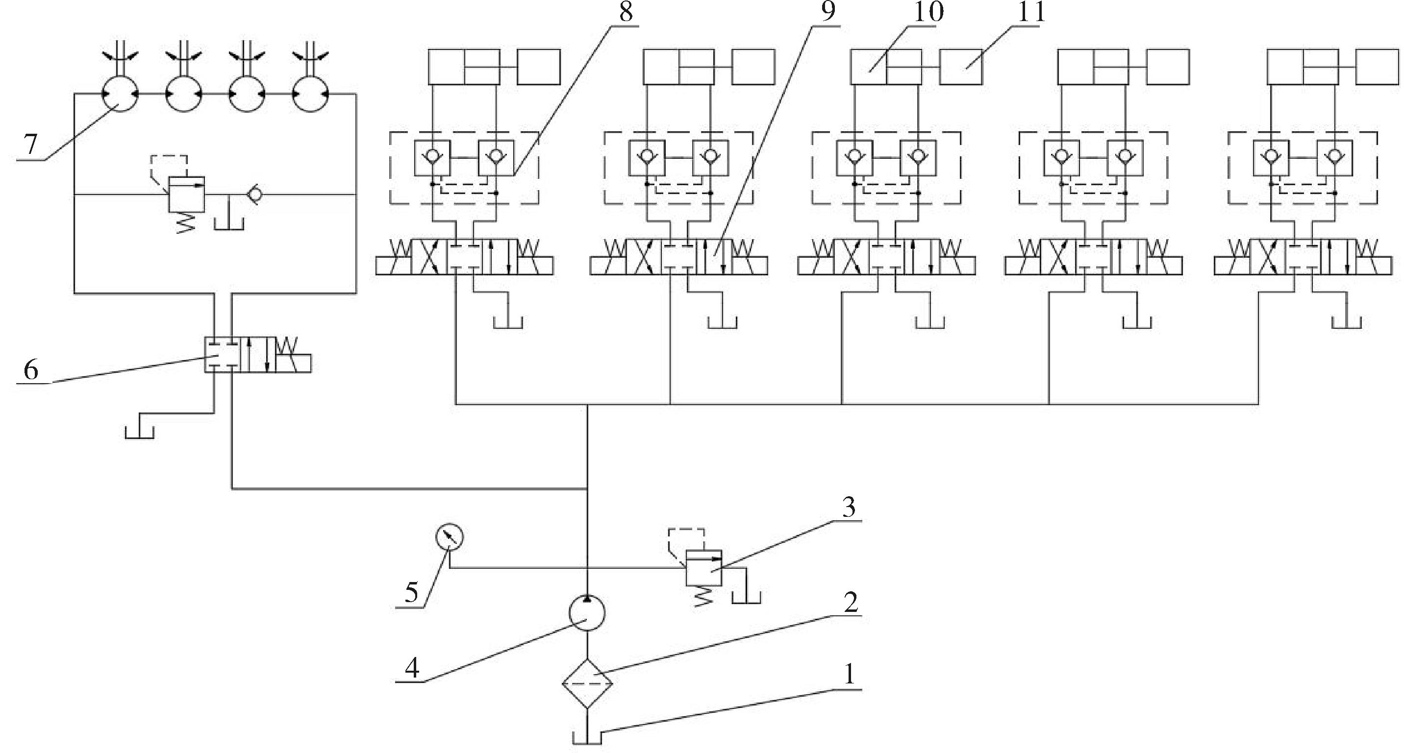
    • Design and testing of experiment platform for reciprocating hydraulic flushing and digging device for lotus roots

      2025, 44(5):229-240. DOI: 10.13300/j.cnki.hnlkxb.2025.05.023

      Abstract (21) HTML (3) PDF 1.75 M (115) Comment (0) Favorites

      Abstract:An experiment platform for reciprocating hydraulic flushing and digging device for lotus roots was designed to solve the problem of low operating efficiency and serious leakage existing in the fixed flushing method of traditional hydraulic digging nozzles for lotus roots.Fluent simulation was used to conduct one-factor experiments on the shape of the nozzle and obtain the cone-column shape as the optimal shape.EDEM-Fluent coupled simulation was used to carry out L9(34) orthogonal experiments on the key dimensions and working parameters of the nozzle and obtain the optimal parameters for the nozzle being a diameter of water outlet of 15 mm,a height of mud clearance of 50 mm,and a jet angle of 30°.The integral method was used to theoretically analyze the trajectory and flushing area of nozzle.The optimal forward speed and swing speed of the nozzle in theory were calculated with Matlab to be 17.3 and 130.7 mm/s.The performance of a single nozzle flushing silt was tested based on the test platform of reciprocating hydraulic flushing and digging device.The results verified the reliability of key dimensions and working parameters of the nozzle obtained from the simulation experiments.A Box-Behnken center combination performance test was conducted to investigate the comprehensive effects of jet angle,forward speed,and swing speed on the digging rate of lotus roots.The results showed that the digging rate of lotus roots was the highest when the jet angle,the forward speed,and the swing speed was 27.4°,10.6 mm/s,and 191.1 mm/s.The digging rate of lotus roots in the simulation and the test platform was 93% and 91%.It will provide reference for studying the principles of harvesting machinery and hydraulic flushing of lotus roots.

      • 0+1
      • 1+1
      • 2+1
      • 3+1
      • 4+1
      • 5+1
      • 6+1
      • 7+1
      • 8+1
      • 9+1
      • 10+1
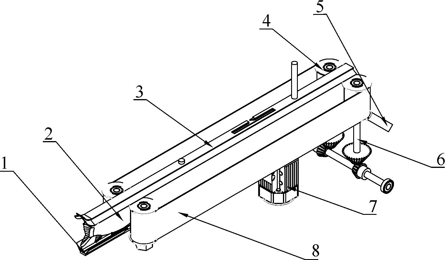
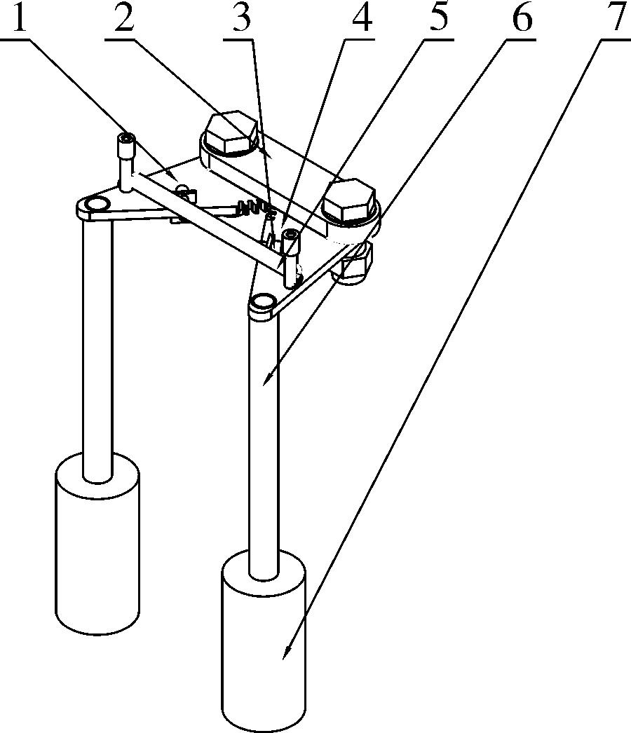
    • Design and testing of a rotary contour peeling device for roots of lotus

      2025, 44(5):241-248. DOI: 10.13300/j.cnki.hnlkxb.2025.05.024

      Abstract (27) HTML (4) PDF 1.71 M (120) Comment (0) Favorites

      Abstract:A rotary contour peeling device consisting of a clamping rotary and reciprocating contour cutting was designed to solve the problem of ineffective mechanical peeling and the reliance on manual labor in peeling the roots of lotus. A theoretical analysis was conducted on the key components of the device and their relationship with the rotary speed. The radius of the arc peeling blade edge, the shape of the depth-limited support block, the length of the cutter arm pendulum, and the ratio of the rotary speed of the roots of lotus to the screw of the stepper motor was determined to be 7 mm, a semi-ellipsoidal cylinder, 85 mm and ranged from 0.51 to 1.03, respectively. Elian No. 5 was used to conduct a Box-Behnken response surface with the uniformity of peeling and the loss rate of peeling as indexes and the rotary speed of lotus root and stepper motor, and the diameter of torsion spring as factors. The optimal combination of parameters was determined to be a rotary speed of lotus root of 108 r/min, a rotary speed of stepper motor of 74 r/min, and a diameter of torsion spring of 1.6 mm. A verification experiment was conducted under these conditions, resulting in a removal rate of lotus root of ≥88.75% and a loss rate of peeling of ≤12.36%. It will provide a reference for improving the design of peeling machinery for roots of lotus.

      • 0+1
      • 1+1
      • 2+1
      • 3+1
      • 4+1
      • 5+1
      • 6+1
      • 7+1
      • 8+1
      • 9+1
    • Mechanical properties of tissues in lotus seedpods with different maturity

      2025, 44(5):249-258. DOI: 10.13300/j.cnki.hnlkxb.2025.05.025

      Abstract (20) HTML (0) PDF 856.31 K (112) Comment (0) Favorites

      Abstract:The space lotus was used to study the appropriate method of breaking and threshing fresh lotus seedpods to achieve the mechanized threshing of lotus seedpods with high efficiency and low damage. The content of moisture, the characteristics of appearance, and mechanical properties of lotus seedpods with different maturity were studied, with a focus on the failure patterns of tissues in lotus seedpods under three modes of loading including shear, tension, and puncture. The results showed that the content of moisture in lotus seedpods was the highest in seeds and the lowest in epidermis. The content of moisture in epidermis significantly decreased with the decrease of the content of moisture in lotus seedpods. The shear and tensile properties of epidermis in the lotus seedpods were obviously anisotropic, and the mode of loading significantly affected the rupture force of shear and tension. The rupture force of transverse shear and axial tension in the epidermis of lotus seedpods gradually increased with the increase of maturity, increasing from 13.32 to 21.91 N and 13.70 to 37.38 N, respectively. There was no significant change in the rupture force of longitudinal shear and transverse tension. The speed of loading had no significant effect on the rupture force of shear and tension in the epidermis. The average rupture force of tension in fiber tissues of lotus seedpods was larger at the stage of ripening, approximately 17.19 N. There was no significant difference in the average tensile strength between the stage of milk ripening and the stage of wax ripening, and the speed of loading had no significant effect on the tensile strength of the fiber tissues. Epidermal puncture damage of lotus seedpod was not affected by epidermal anisotropy. The rupture force of puncture in lotus seedpod decreased gradually with the increase of maturity, while the rupture force of epidermal puncture increased gradually. The rupture force of surface puncture and epidermal puncture increased with the increase of the diameter of the probe, with the maximum value of 21.60, 32.05, and 39.25 N, respectively. The effect of epidermal loading on the rupture force was in the decreasing order of mode of loading >maturity> speed of loading. It is indicated that the puncture loading was used first to destroy the lotus seedpod to achieve the damage with less destructive power, and then the tensile cracking force was used to achieve the efficient tearing of the lotus seed. It will provide theoretical basis for designing machines of peeling and threshing the fresh lotus seedpods.

      • 0+1
      • 1+1
      • 2+1
      • 3+1
      • 4+1
      • 5+1
      • 6+1
      • 7+1
      • 8+1
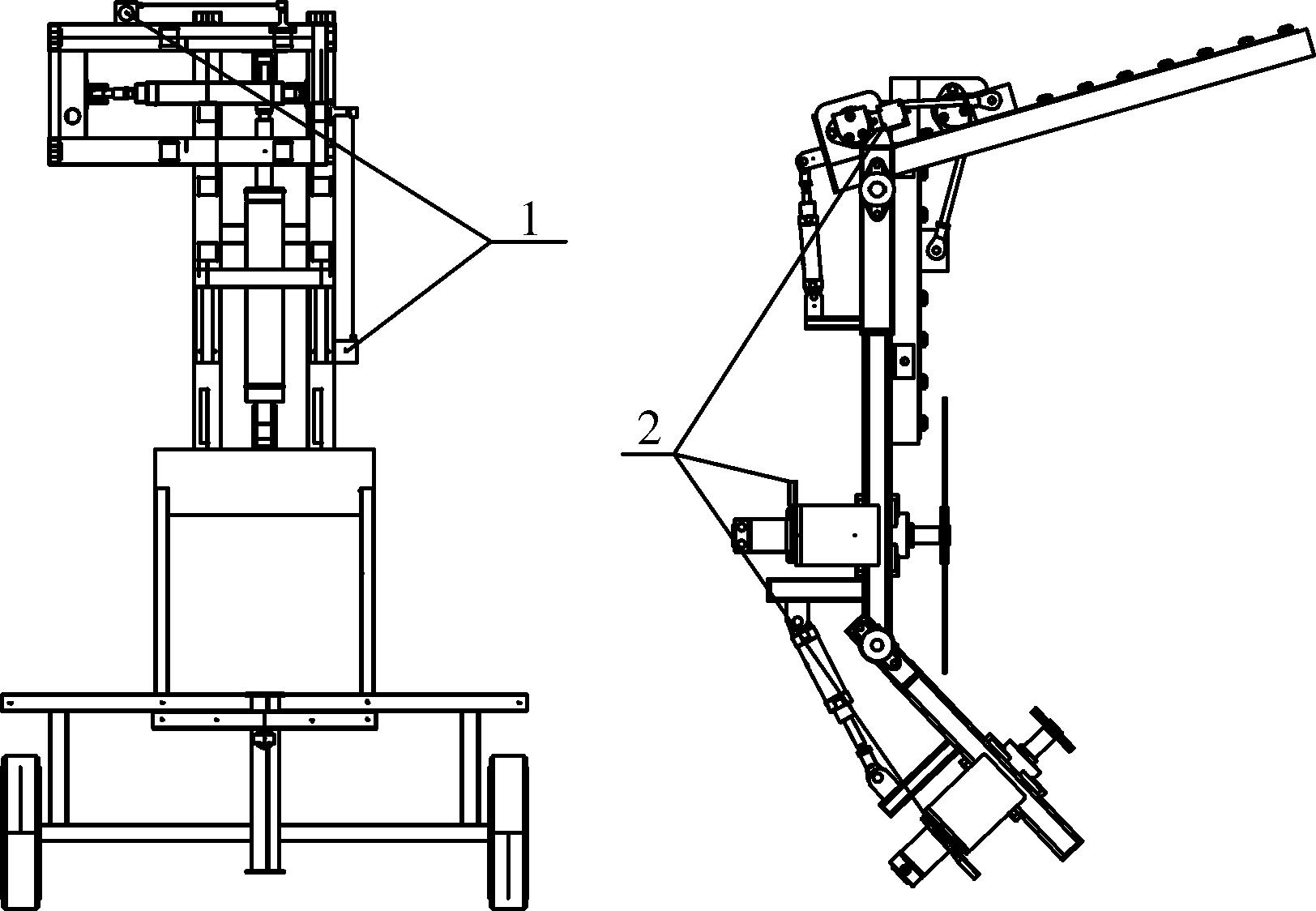
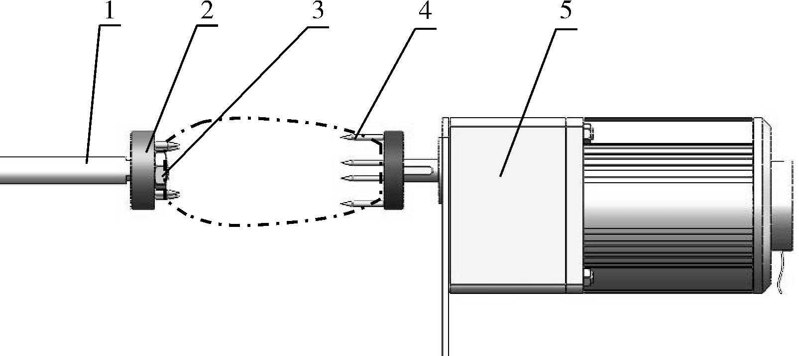
    • Design and testing of a pinch-feeding device for dissecting Hypophthalmichthys moritrix body

      2025, 44(5):259-269. DOI: 10.13300/j.cnki.hnlkxb.2025.05.026

      Abstract (21) HTML (0) PDF 1.48 M (114) Comment (0) Favorites

      Abstract:Hypophthalmichthys moritrix was used to study the key components of a pinch-feeding device for dissecting freshwater fish body to solve the problems of single-machine operation and low efficiency of processing in terms of the current device for dissecting freshwater fish body mainly relying on manual feeding,which cannot meet the requirements for mechanized and automated dissection of fish body.A pinch-feeding device for dissecting Hypophthalmichthys moritrix body was developed and tested.The pinch-feeding device for dissecting Hypophthalmichthys moritrix body was consisted of a frame,a fish body feeding component,a fish body pinching component,a fish body dissecting component,and a cleaning component.The minimum limiting pressure of the fish body was obtained by conducting compression tests on the fish body.The conditions of satisfying the process of pinching and feeding,and the magnitude of the force exerted on the fish by different rotation directions of the knife discs were studied by analyzing the force in the process of pinching and dissecting the fish body.A single factor experiment using the acceptability score and cutting loss rate of Hypophthalmichthys moritrix as evaluation indexes was conducted to study the effect of factors including the initial spacing of pinching rollers,the height and speed of the cutting disc on dissecting Hypophthalmichthys moritrix.The results of the orthogonal experiment showed that the factors affecting the effect of dissecting fish body was in the decreasing order of speed of the cutting disc > height of the cutting disc > initial spacing of pinching rollers.When the initial spacing of pinching rollers,the height of the cutting disc,and the speed of the cutting disc was 20 mm,135 mm,and 1 400 r/min,the profile of Hypophthalmichthys moritrix body was smooth and the integrity of the fish meat was high,with the average acceptability score of 9.48,the cutting loss rate of 0.11%,and the efficiency of processing up to 8.0 pieces/min.It will provide a reference for developing the device for dissecting bulk freshwater fish body and designing the automated pre-treatment processing line for freshwater fish.

      • 0+1
      • 1+1
      • 2+1
      • 3+1
      • 4+1
      • 5+1
      • 6+1
      • 7+1
      • 8+1
      • 9+1
      • 10+1
      • 11+1
      • 12+1
      • 13+1
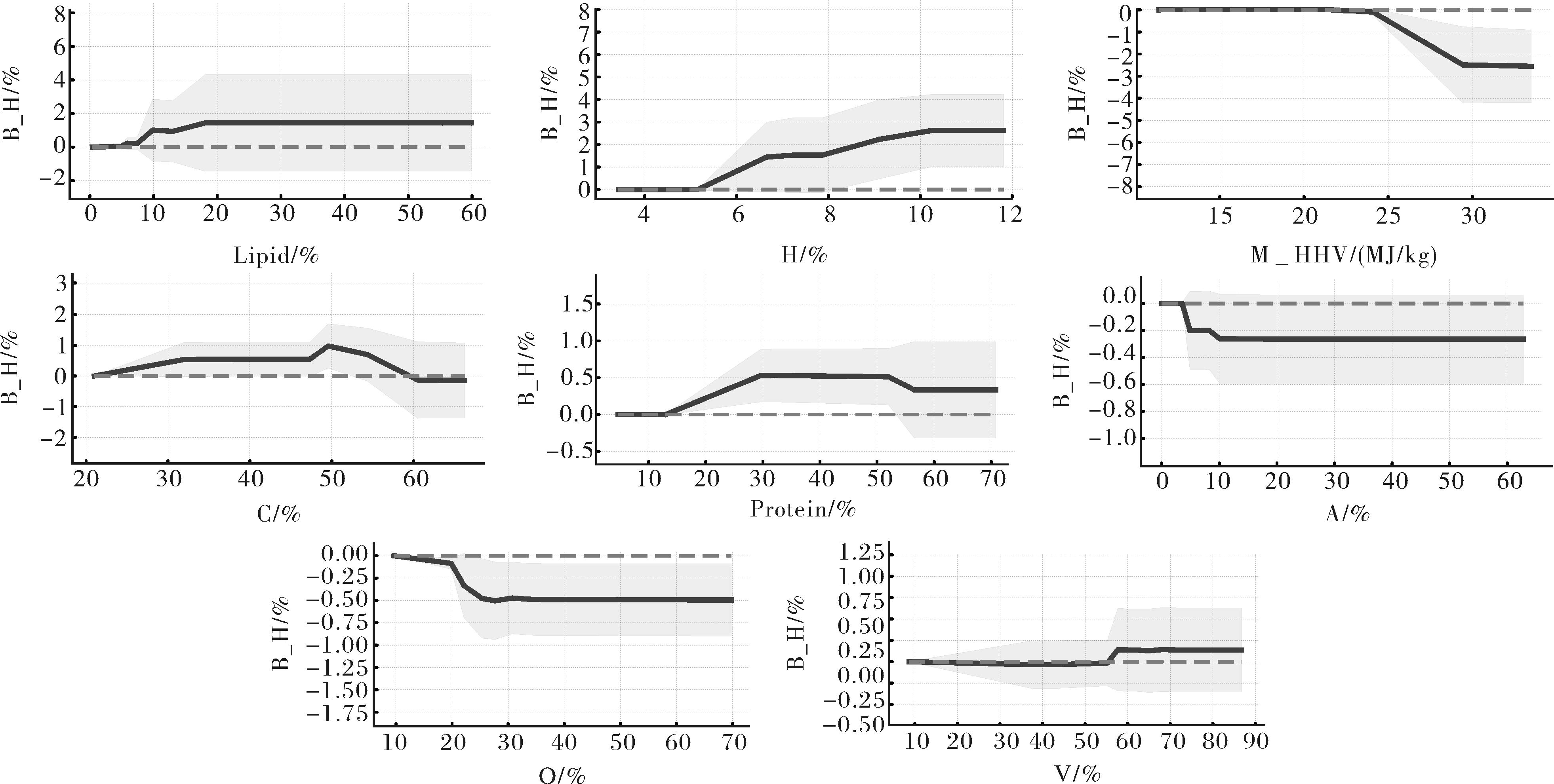
    • Intelligent modeling and response behavior of process of producing hydrogen-rich hydrothermal bio-oil from wastes with high-moisture and high-lipid

      2025, 44(5):270-279. DOI: 10.13300/j.cnki.hnlkxb.2025.05.027

      Abstract (17) HTML (1) PDF 2.76 M (105) Comment (0) Favorites

      Abstract:Two types of high-fitness machine learning algorithms including random forest and extreme gradient enhancement Tree were used to establish a prediction model of the content of hydrogen in hydrothermal bio-oil with high-precision and wide-range(R2>0.93) based on 243 sets of experimental data collected from literature on the hydrothermal preparation of hydrogen-rich bio-oil from wastes with high-moisture and high-lipid including dead livestock and algae to construct a model for predicting the content of hydrogen in hydrothermal bio-oil with high accuracy of prediction and strong ability of generalization, and to study in depth the laws and mechanisms of hydrothermal conversion of biomass. SHAP interpretable technology and local dependence analysis method were used to analyze the contribution, local dependence response behavior and interactive coupling law of conditions for producing hydrothermal bio-oil based on the mathematical prediction model. The results showed that the content of lipid and hydrogen in the wastes with high-moisture and high-lipid were the determining factors for the preparation of hydrogen-rich bio-oil, ranked the top two in terms of its contribution to the enrichment of hydrogen in the oil phase and significantly affected the accumulation of hydrogen in the oil phase. The content of hydrogen in the oil phase was increased with the increase of the content of hydrogen in the raw material, indicating that hydrogen-rich raw materials provide convenient conditions for the preparation of hydrogen-rich bio-oil, with an improvement effect of up to 4%. The high calorific value of raw materials was the main inhibitory factor for the hydrogen-enriched behavior of bio-oil, with an inhibitory effect of up to 4%. The coupling effect between the information of element, industry, and components of biomass was strong from the interactions among the characterized categories, but the effect of local coupling between the characteristics of raw material and operating conditions was relatively small.

      • 0+1
      • 1+1
      • 2+1
      • 3+1
      • 4+1
    • Detection of umami intensity in grass carp based on hyper-spectrum and multi-attention mechanisms

      2025, 44(5):280-287. DOI: 10.13300/j.cnki.hnlkxb.2025.05.028

      Abstract (9) HTML (0) PDF 992.19 K (105) Comment (0) Favorites

      Abstract:Deep learning and machine learning algorithms combined with hyperspectral imaging technology were used to establish a fast and nondestructive method for detecting umami intensity in grass carp to solve the problems of strong subjectivity,long time-consumption and sample destructiveness in the current detection methods of umami intensity.The competitive adaptive reweighted sampling method was used to select the feature wavelengths of spectrum after collecting the hyperspectral data in grass carp.The Gaussian-weighted multi-head attention network (GMANet) was developed.The model of detecting umami intensity in grass carp was established and optimized with the support vector machine regression (SVR),partial least squares regression (PLSR) random forest (RF),1D-ResNet and other algorithms.The results showed that the root mean square error of prediction (RMSEP) and the coefficient of determination of prediction (RP2) of GMANet network was 0.008 2 and 0.884 4,better than the RMSEP and RP2 of 0.007 7 and 0.818 8 in the optimal modeling method SVR in traditional algorithms.It is indicated that hyperspectral technology has a large application prospect in the detection of umami intensity and the GMANet network can make full use of the spatial image and spectral information of the samples.It will provide a new method for the further application of detection with hyperspectral image.

      • 0+1
      • 1+1
      • 2+1
      • 3+1
    • Design and experiment of the remote-control system for fruit tree pruners

      2025, 44(5):288-298. DOI: 10.13300/j.cnki.hnlkxb.2025.05.029

      Abstract (18) HTML (0) PDF 2.44 M (109) Comment (0) Favorites

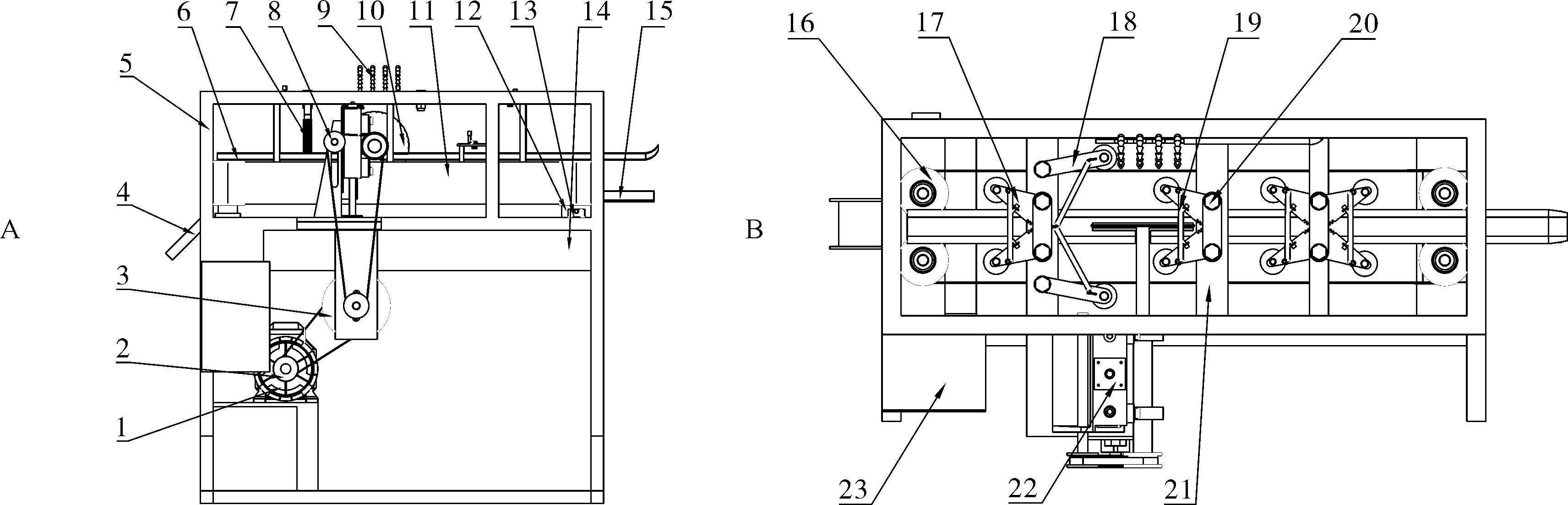
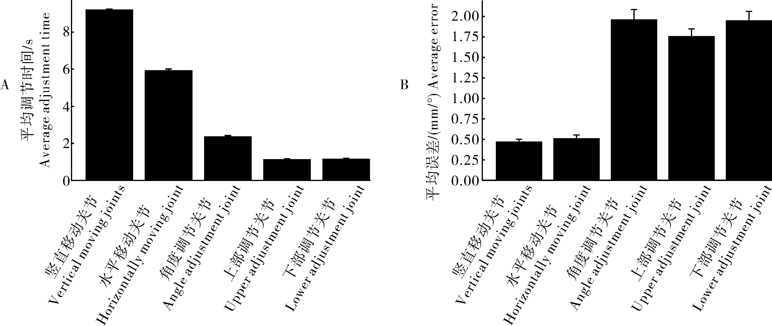
      Abstract:A remote-control system for fruit tree pruners was designed based on the Internet of Things (IoTs) and electro-hydraulic driving architecture to solve the problems of the low level of automation in the process of pruning fruit tree.The control system for fruit tree pruners was mainly consisted of a hydraulic drive module, a main control module, a communication module, a perception module, and a human-phone interaction module to complete the monitoring and remote control of the joint position of the pruner and cooperate with the start-stop of the hydraulic motor to complete the tasks of mechanical pruning of fruit trees.The improved Denavit-Hartenberg (D-H) parameter method was used to establish the kinematic model of fruit tree pruner.The kinematic model of pruner was verified with Matlab Robotics Toolbox, and the theoretical workspace of each pruning mechanism was solved with Monte Carlo algorithm.The specific sensors, controllers and hydraulic valves were selected according to the characteristics of joint motion to design an application layer control scheme for the IoTs system.The network layer of the IoTs system was established based on the UART-Wi-Fi module ESP8266 to realize remote monitoring and communication between the mobile phone APP-cloud server-pruner.A mobile phone APP with human-phone interaction interface for the convenience of easy use and quick start was designed to enable the reading of the joint positional status of the pruner and the sending of control instructions through the human-phone interaction interface to automatically adjust the position of pruner.A experiment at an open area for viewing the rapidity and accuracy of the machine prototype was conducted.The results of testing the prototype showed that the positioning errors of the mobile joints were within ±0.5 mm, the positioning error of each rotating joint was less than 2°, and the control and adjustment time of each joint motion to the limit stroke was between 1.14-9.21 s, with good adjustment time.It is indicated that the fruit tree pruner based on the IoTs architecture has a high degree of automation and a simple mode of operation, and has certain application value in practically pruning fruit trees.

      • 0+1
      • 1+1
      • 2+1
      • 3+1
      • 4+1
      • 5+1
      • 6+1
      • 7+1
      • 8+1
      • 9+1
      • 10+1
    • Process of synchronized removal of NO3--N and PO43--P from pond aquaculture tailwater by sulfur-iron based reactors

      2025, 44(5):299-307. DOI: 10.13300/j.cnki.hnlkxb.2025.05.030

      Abstract (18) HTML (6) PDF 1.06 M (113) Comment (0) Favorites

      Abstract:In order to enhance and optimize the technology and processes involved in tailwater treatment for pond aquaculture,the removal effects of four types of reactors with pyrrhotite (Group B1),pyrrhotite+sulfur (Group B2),siderite+sulfur (Group B3),and pyrrhotite+sulfur+limestone (Group B4) as the substrates were constructed,and the removal efficiencies of NO3--N and PO43--P in the tailwater from pond aquaculture as well as the safety of the reactors were compared.The results were as follows:(1) Under the conditions of hydraulic retention times of 24 h,12 h and 6 h,Group B3 exhibited the most effective removal of NO3--N ,with an average mass concentration of NO3--N in its effluent ranging from a minimum of 0.17 mg/L to a maximum of 0.61 mg/L,achieving a removal rate exceeding 80%.Both Groups B1 and B3 had the most effective removal of PO43--P,with an average mass concentration of PO43--P in their effluent measuring as low as 0.08 mg/L and as high as 0.42 mg/L,and the removal rate exceeded 70%.(2) The effluent sulfate and TFe concentrations in Groups B1 and B3 were lower and safer.Their average sulfate mass concentrations at three hydraulic retention times ranged from 98.67 mg/L to 245.45 mg/L and from 133.33 mg/L to 294.71 mg/L,respectively.The average TFe mass concentrations varied from 0.044 mg/L to 3.07 mg/L and from 1.32 mg/L to 7.90 mg/L,respectively.In terms of effluent NO2--N concentration,the safety ranking of the four groups of reactors,from highest to lowest,was B4>B2=B3>B1.Conversely,regarding effluent NH4+-N concentration,the safety ranking from highest to lowest was B1>B2=B3>B4.The above results indicate that Group B3 demonstrates both high efficiency and high safety in the removal of NO3--N and PO43--P,and it can be applied to actual aquaculture tailwater treatment.

      • 0+1
      • 1+1
      • 2+1
      • 3+1
      • 4+1
      • 5+1
    • >Techneques and methods
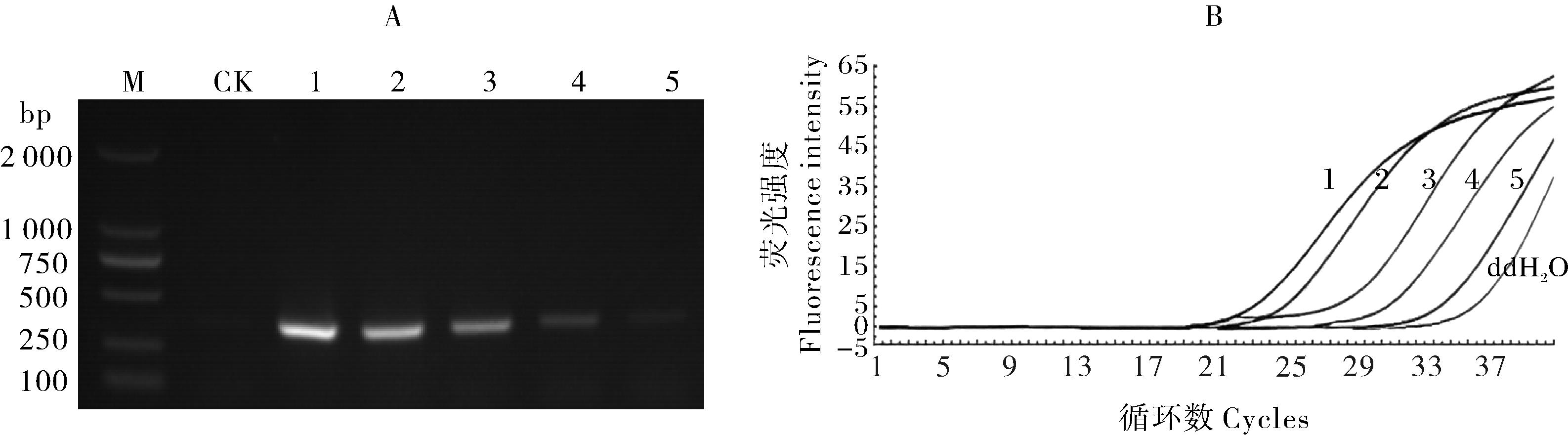
    • Establishment of SYBR GreenⅠreal-time quantitative PCR for detecting Dickeya dadantii of banana bacterial sheath rot

      2025, 44(5):308-313. DOI: 10.13300/j.cnki.hnlkxb.2025.05.031

      Abstract (19) HTML (0) PDF 1018.03 K (107) Comment (0) Favorites

      Abstract:Banana bacterial sheath rot,caused by Dickeya dadantii,is a significant threat to the production of banana in China.Accurately and quantitatively detecting this pathogen at an early stage is important to control banana bacterial sheath rot.A SYBR GreenⅠreal-time quantitative PCR method was established with specific primers based on the housekeeping gene fusA of D.dadantii and optimized conditions for amplification.Comparisons were made between the result of the established SYBR GreenⅠreal-time quantitative PCR and that of the conventional PCR.The established SYBR GreenⅠreal-time quantitative PCR was used to detect XJ5-1 in banana leaf sheaths and soil samples inoculated with banana bacterial sheath rot bacteria XJ5-1.The results showed that the sensitivity of SYBR GreenⅠreal-time quantitative PCR for detecting the plasmid DNA was 3.3×10-5 ng/μL,100 times higher than that of conventional PCR.The established method was able to detect XJ5-1 in banana plants with a copy number of 4.31×103 copies/μL and in soil samples with a copy number of 1.07×109 copies/μL,and in samples of used greenhouse soil inoculated at an inoculum concentration of 1×103 CFU/mL.The sensitivity of detecting soil samples with the established method was 100 times higher than that with the conventional PCR.It is indicated that the established SYBR GreenⅠreal-time quantitative PCR method is rapid,simple,and sensitive.It will lay a foundation for the early diagnosis and monitoring of banana bacterial sheath rot.

      • 0+1
      • 1+1
      • 2+1
      • 3+1

Current Issue


Volume , No.

Table of Contents

Archive

Volume

Issue

Most Read

Most Cited

Most Downloaded